Войти на сайт ( )
Химия 9 класс. Е.Е.Минченков, Л.А.Цветков, Л.С.Зазнобина (9 класс)
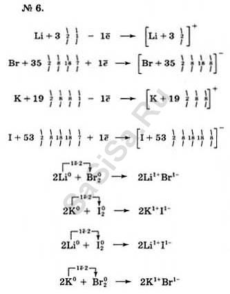
№ параграфа: 5
№ задания
? (Вопрос)
1 | 2 | 3 | 4 | 5 | 6 |
Химия, 9 Класс
Школьный раздел
Сервисы | Главная
(c) m.sasisa.cc