Войти на сайт ( )
Химия 9 класс. Гузей Л.С. (9 класс)
Страница: 46
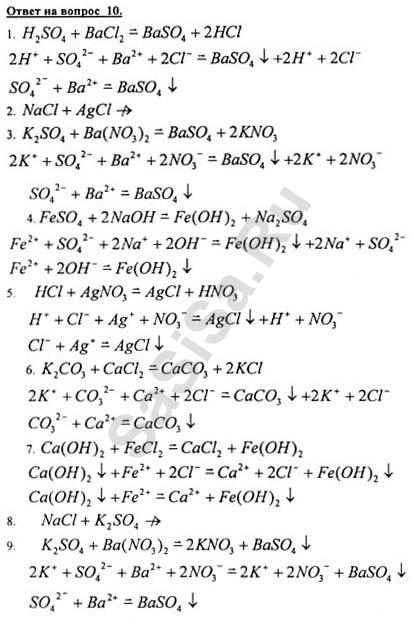
Номер задания
1 | 2 | 3 | 4 | 5 | 6 | 7
8 | 9 | 10 | 11 | 12 | 13 | 14
15 | 16Т | 17Т | 18 | 19 | 20Т | 21Т
22 | 23 | 24 |
Химия, 9 Класс
Школьный раздел
Сервисы | Главная
(c) m.sasisa.cc