Войти на сайт
(
)
Химия 9 класс. Гузей Л.С.
(9 класс)
Страница: 211
Номер задания
1
|
2
|
3Т
|
4
|
5
|
6
|
8
9
|
10
|
11
|
12
|
13
|
14
|
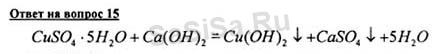
15
16Т
|
17Т
|
18Т
|
19Т
|
20
|
Химия, 9 Класс
Школьный раздел
Сервисы
|
Главная
(c)
m.sasisa.cc