Войти на сайт ( )
Физика 9 класс. А.В.Перышкин Е.М.Гутник 2002 год (9 класс)
Страница: 77
№ задания
1 | 2 | 3 | 4 | 5 | 6 |
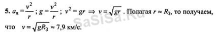
1 (Упражнение)
2 (Упражнение)
Физика, 9 Класс
Школьный раздел
Сервисы | Главная
(c) m.sasisa.cc