Войти на сайт ( )
Физика 9 класс. А.В.Перышкин Е.М.Гутник 2002 год (9 класс)
Страница: 241
№ задания
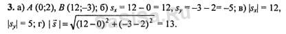
3 (Задание)
4 (Задание)
5 (Задание)
6 (Задание)
7 (Задание)
Физика, 9 Класс
Школьный раздел
Сервисы | Главная
(c) m.sasisa.cc