Войти на сайт
(
)
Геометрия 7-9 класс. Атанасян Л.С. (7 класс)
Номер задания
543
|
544
|
545
|
546
|
547
|
548
|
549
550
|
551
|
552
|
553
|
554
|
555
|
557
558
|
559
|
560
|
561
|
562
|
563
|
564
565
|
566
|
567
|
568
|
569
|
570
|
571
572
|
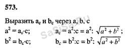
573
|
574
|
575
|
576
|
577
|
579
580
|
581
|
582
|
583
|
585
|
586
|
587
588
|
591
|
592
|
593
|
594
|
595
|
596
597
|
598
|
599
|
600
|
601
|
602
|
603
604
|
605
|
606
|
607
|
608
|
609
|
610
611
|
612
|
613
|
614
|
615
|
616
|
617
Далее »
« Назад
Страница:
1
,
2
,
3
...
7
,
8
,
9
...
12
,
13
,
14
Геометрия, 7 Класс
Школьный раздел
Сервисы
|
Главная
(c)
m.sasisa.cc