Войти на сайт
(
)
Геометрия 7-9 класс. Атанасян Л.С. (7 класс)
Номер задания
472
|
473
|
474
|
475
|
476
|
477
|
478
479
|
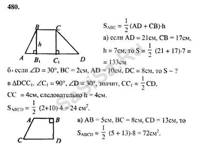
480
|
481
|
482
|
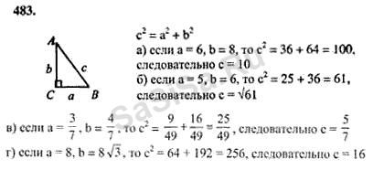
483
|
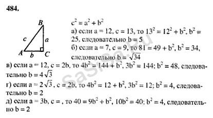
484
|
485
486
|
487
|
488
|
489
|
490
|
491
|
492
493
|
494
|
495
|
496
|
497
|
498
|
499
500
|
501
|
502
|
503
|
504
|
505
|
506
507
|
508
|
509
|
510
|
511
|
512
|
513
514
|
515
|
516
|
517
|
518
|
519
|
520
521
|
522
|
523
|
524
|
525
|
526
|
527
528
|
529
|
530
|
531
|
532
|
533
|
534
536
|
537
|
538
|
539
|
540
|
541
|
542
Далее »
« Назад
Страница:
1
,
2
,
3
...
6
,
7
,
8
...
12
,
13
,
14
Геометрия, 7 Класс
Школьный раздел
Сервисы
|
Главная
(c)
m.sasisa.cc