Войти на сайт ( )
Дидактические материалы по геометрии для 9 класса. Б.Г. Зив (9 класс)
№ Работы: 4
№ Варианта
1 (Самост. работа)
2 (Самост. работа)
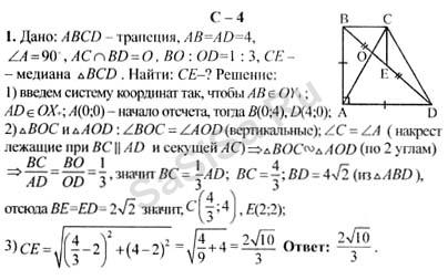
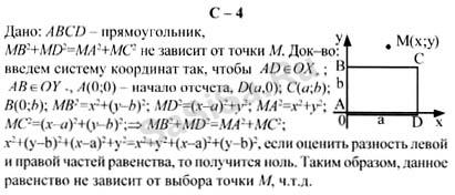
3 (Самост. работа)
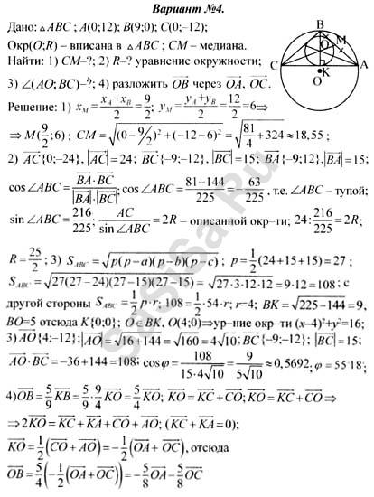
4 (Самост. работа)
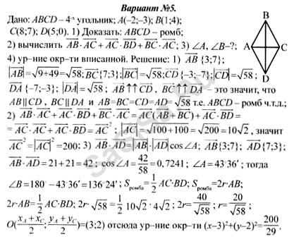
5 (Самост. работа)
6 (Самост. работа)
7 (Самост. работа)
8 (Самост. работа)
1 (Контр. работа)
2 (Контр. работа)
3 (Контр. работа)
4 (Контр. работа)
1 (Мат. диктант)
2 (Мат. диктант)
1 (Повторение)
2 (Повторение)
3 (Повторение)
4 (Повторение)
5 (Повторение)
6 (Повторение)
Геометрия, 9 Класс
Школьный раздел
Сервисы | Главная
(c) m.sasisa.cc