Войти на сайт
(
)
Геометрия 7-9 класс. Атанасян Л.С. (9 класс)
Номер задания
1017
|
1019
|
1020
|
1021
|
1022
|
1023
|
1024
1025
|
1026
|
1027
|
1028
|
1029
|
1030
|
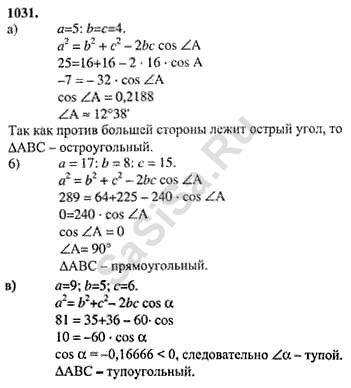
1031
1032
|
1034
|
1035
|
1036
|
1037
|
1038
|
1039
1040
|
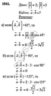
1041
|
1042
|
1043
|
1044
|
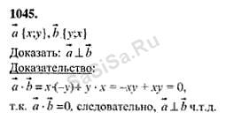
1045
|
1046
1047
|
1048
|
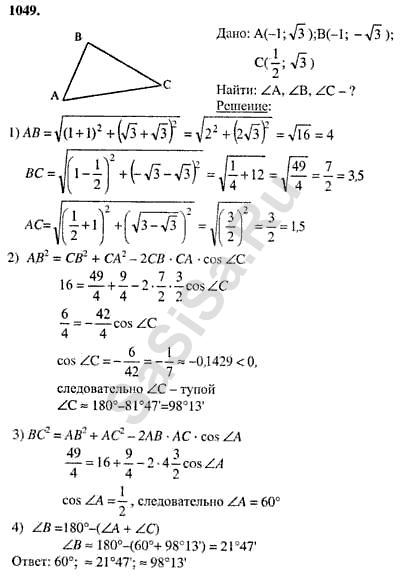
1049
|
1050
|
1051
|
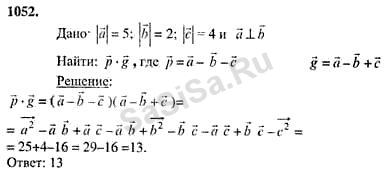
1052
|
1053
1056
|
1057
|
1058
|
1059
|
1060
|
1061
|
1062
1063
|
1064
|
1065
|
1066
|
1067
|
1068
|
1069
1078
|
1079
|
1080
|
1081
|
1082
|
1083
|
1084
1085
|
1086
|
1087
|
1088
|
1089
|
1090
|
1091
1092
|
1093
|
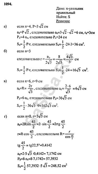
1094
|
1095
|
1096
|
1097
|
1098
Далее »
« Назад
Страница:
1
,
2
,
3
... ,
12
,
13
,
14
Геометрия, 9 Класс
Школьный раздел
Сервисы
|
Главная
(c)
m.sasisa.cc