Войти на сайт
(
)
Геометрия 7-9 класс. Атанасян Л.С. (9 класс)
Номер задания
941
|
942
|
943
|
944
|
945
|
946
|
947
948
|
949
|
950
|
951
|
954
|
955
|
956
957
|
958
|
959
|
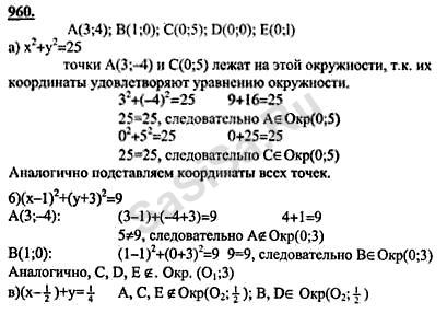
960
|
961
|
962
|
963
964
|
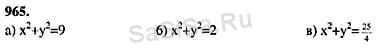
965
|
966
|
967
|
968
|
969
|
970
971
|
973
|
974
|
975
|
976
|
977
|
979
980
|
982
|
983
|
985
|
986
|
987
|
988
989
|
990
|
991
|
992
|
993
|
994
|
995
996
|
997
|
998
|
999
|
1000
|
1001
|
1002
1003
|
1004
|
1005
|
1006
|
1007
|
1008
|
1009
1010
|
1011
|
1012
|
1013
|
1014
|
1015
|
1016
Далее »
« Назад
Страница:
1
,
2
,
3
...
11
,
12
,
13
,
14
Геометрия, 9 Класс
Школьный раздел
Сервисы
|
Главная
(c)
m.sasisa.cc