Войти на сайт
(
)
Геометрия 7-9 класс. Атанасян Л.С. (9 класс)
Номер задания
770
|
771
|
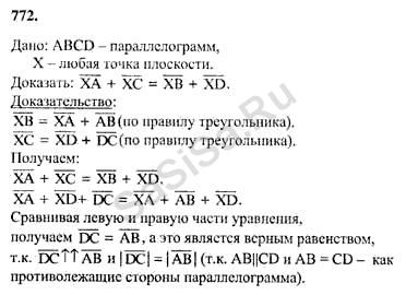
772
|
773
|
774
|
775
|
776
777
|
778
|
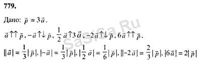
779
|
780
|
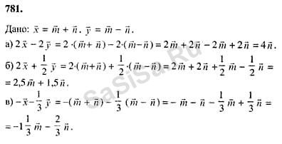
781
|
782
|
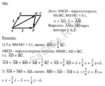
783
784
|
785
|
786
|
787
|
789
|
790
|
791
792
|
793
|
794
|
795
|
796
|
797
|
798
799
|
800
|
801
|
802
|
803
|
804
|
805
806
|
807
|
808
|
809
|
810
|
911
|
912
913
|
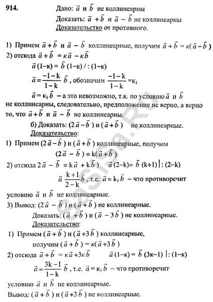
914
|
915
|
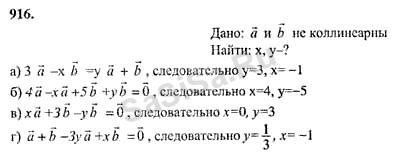
916
|
917
|
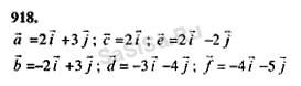
918
|
919
920
|
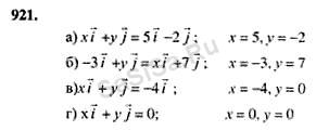
921
|
922
|
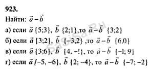
923
|
924
|
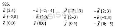
925
|
926
927
|
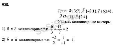
928
|
929
|
930
|
931
|
932
|
933
934
|
935
|
936
|
937
|
938
|
939
|
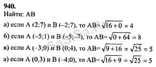
940
Далее »
« Назад
Страница:
1
,
2
,
3
...
10
,
11
,
12
,
13
,
14
Геометрия, 9 Класс
Школьный раздел
Сервисы
|
Главная
(c)
m.sasisa.cc