Войти на сайт
(
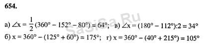
)
Геометрия 7-9 класс. Атанасян Л.С. (9 класс)
Номер задания
618
|
619
|
620
|
621
|
622
|
623
|
624
631
|
632
|
633
|
634
|
636
|
637
|
638
639
|
640
|
641
|
642
|
643
|
644
|
645
646
|
647
|
648
|
649
|
650
|
651
|
652
653
|
654
|
655
|
656
|
657
|
658
|
659
660
|
661
|
662
|
663
|
664
|
665
|
666
667
|
668
|
669
|
670
|
671
|
672
|
674
675
|
676
|
677
|
678
|
679
|
680
|
681
682
|
683
|
684
|
685
|
687
|
688
|
689
690
|
691
|
692
|
693
|
694
|
695
|
696
Далее »
« Назад
Страница:
1
,
2
,
3
...
8
,
9
,
10
...
12
,
13
,
14
Геометрия, 9 Класс
Школьный раздел
Сервисы
|
Главная
(c)
m.sasisa.cc