Войти на сайт
(
)
Алгебра 9 класс. Алимов Ш.А. (9 класс)
Номер задания
287
|
288
|
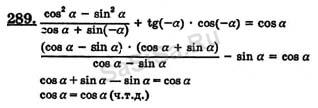
289
|
290
|
291
|
292
|
293
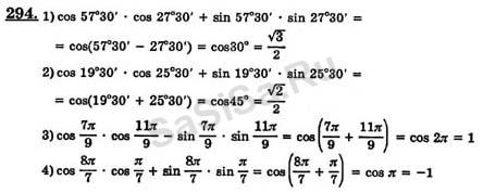
294
|
295
|
296
|
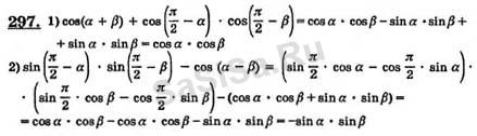
297
|
298
|
299
|
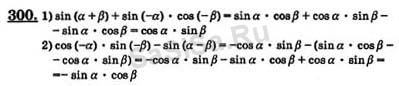
300
301
|
302
|
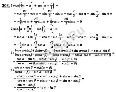
303
|
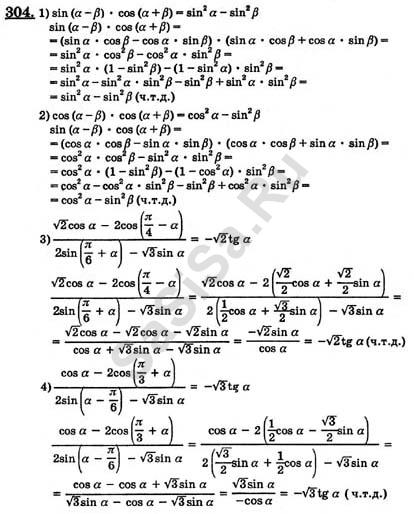
304
|
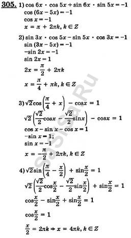
305
|
306
|
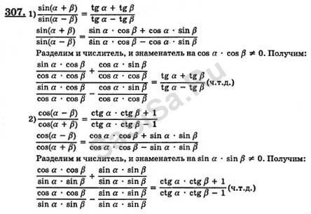
307
308
|
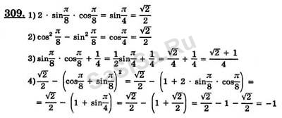
309
|
310
|
311
|
312
|
313
|
314
315
|
316
|
317
|
318
|
319
|
320
|
321
322
|
323
|
324
|
325
|
326
|
327
|
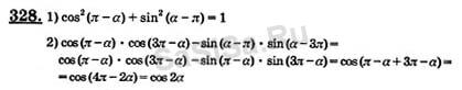
328
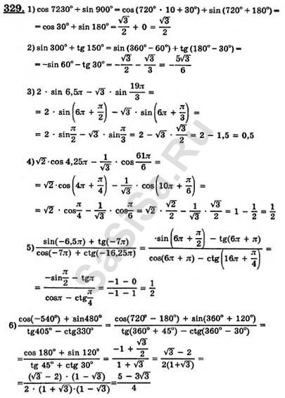
329
|
330
|
331
|
332
|
333
|
334
|
336
337
|
338
|
339
|
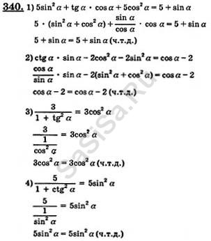
340
|
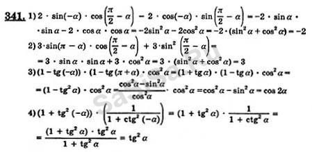
341
|
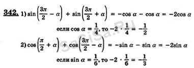
342
|
343
344
|
345
|
346
|
347
|
348
|
349
|
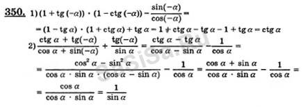
350
351
|
352
|
353
|
354
|
355
|
356
|
357
Далее »
« Назад
Страница:
1
,
2
,
3
,
4
,
5
,
6
Алгебра, 9 Класс
Школьный раздел
Сервисы
|
Главная
(c)
m.sasisa.cc