Войти на сайт
(
)
Алгебра 9 класс. Алимов Ш.А. (9 класс)
Номер задания
212
|
213
|
214
|
215
|
216
|
217
|
218
219
|
220
|
221
|
222
|
223
|
224
|
225
226
|
227
|
228
|
229
|
230
|
231
|
234
235
|
236
|
237
|
238
|
239
|
240
|
241
242
|
243
|
244
|
245
|
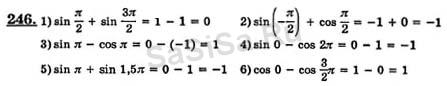
246
|
247
|
248
249
|
251
|
252
|
254
|
255
|
256
|
257
258
|
259
|
260
|
261
|
262
|
263
|
264
265
|
267
|
268
|
269
|
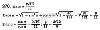
270
|
271
|
272
273
|
274
|
275
|
276
|
277
|
278
|
279
280
|
281
|
282
|
283
|
284
|
285
|
286
Далее »
« Назад
Страница:
1
,
2
,
3
,
4
,
5
,
6
Алгебра, 9 Класс
Школьный раздел
Сервисы
|
Главная
(c)
m.sasisa.cc