Войти на сайт ( )
Алгебра 9 класс. Алимов Ш.А. (9 класс)
Номер задания
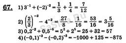
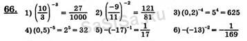
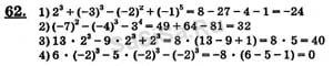
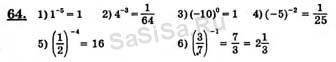
62 | 63 | 64 | 65 | 66 | 67 | 68
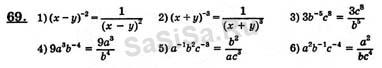
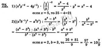
69 | 70 | 71 | 72 | 73 | 74 | 75
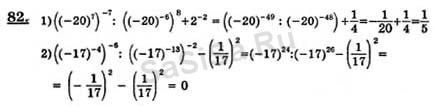
76 | 77 | 78 | 79 | 80 | 81 | 82
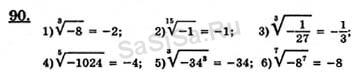
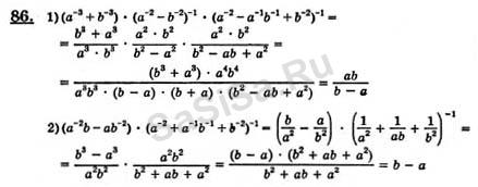
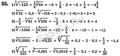
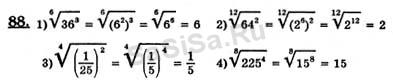
86 | 88 | 89 | 90 | 91 | 92 | 93
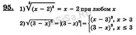
94 | 95 | 96 | 97 | 98 | 99 | 100
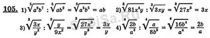
101 | 102 | 103 | 104 | 105 | 106 | 107
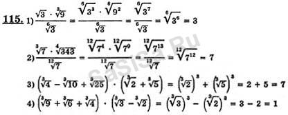
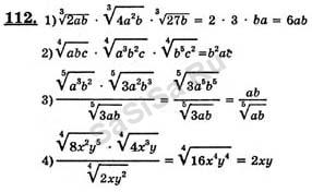
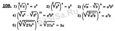
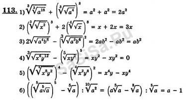
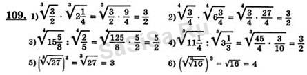
108 | 109 | 110 | 111 | 112 | 113 | 115
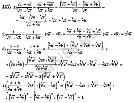
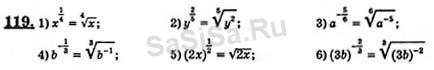
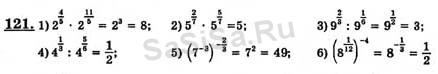
116 | 117 | 118 | 119 | 120 | 121 | 122
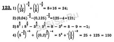
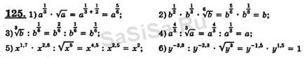
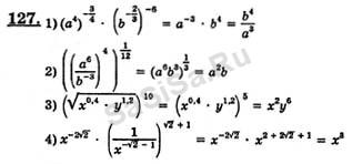
123 | 124 | 125 | 126 | 127 | 128 | 129
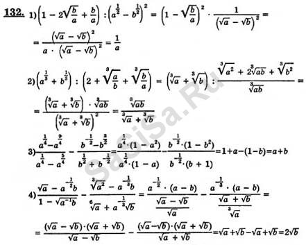
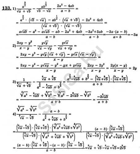
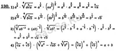
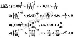
130 | 131 | 132 | 133 | 134 | 136 | 137

Далее »
Страница: 1, 2, 3, 4, 5, 6
Алгебра, 9 Класс
Школьный раздел
Сервисы | Главная
(c) m.sasisa.cc