Войти на сайт
(
)
Алгебра 9 класс. Макарычев (9 класс)
Номер задания
981
|
982
|
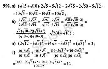
992
|
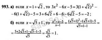
993
|
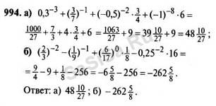
994
|
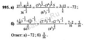
995
|
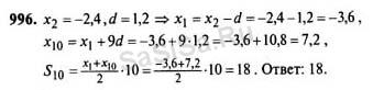
996
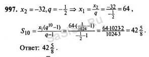
997
|
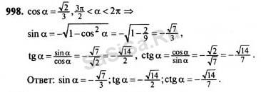
998
|
999
|
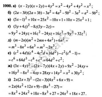
1000
|
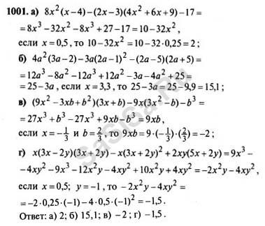
1001
|
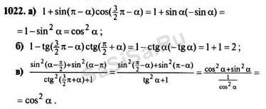
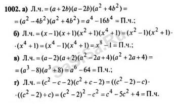
1002
|
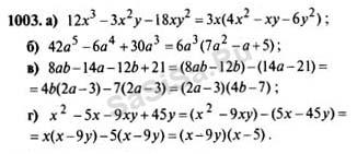
1003
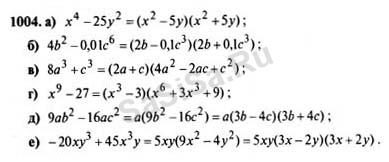
1004
|
1005
|
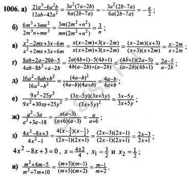
1006
|
1007
|
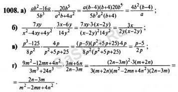
1008
|
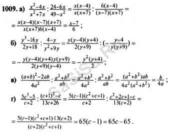
1009
|
1010
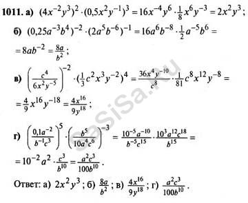
1011
|
1012
|
1013
|
1014
|
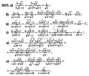
1015
|
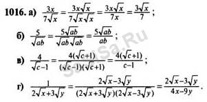
1016
|
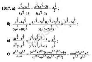
1017
1018
|
1019
|
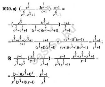
1020
|
1021
|
1022
|
1023
|
1024
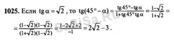
1025
|
1026
|
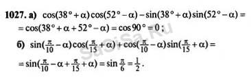
1027
|
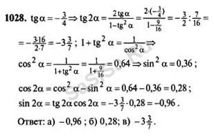
1028
|
1029
|
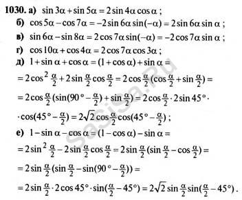
1030
|
1031
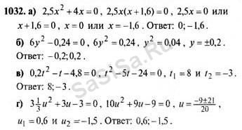
1032
|
1033
|
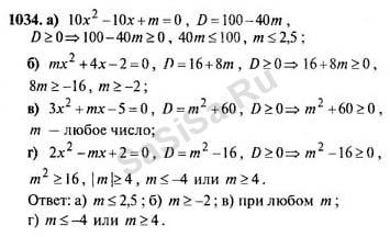
1034
|
1035
|
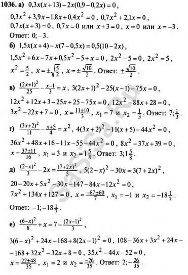
1036
|
1037
|
1038
1039
|
1040
|
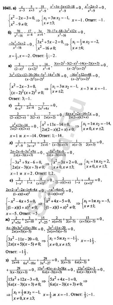
1041
|
1042
|
1043
|
1044
|
1045
1046
|
1047
|
1048
|
1049
|
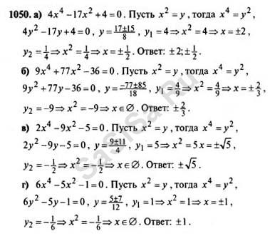
1050
|
1051
|
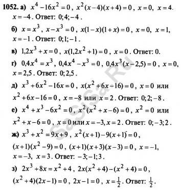
1052
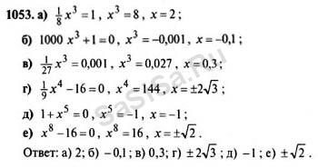
1053
|
1054
|
1055
|
1056
|
1057
|
1058
|
1059
Далее »
« Назад
Страница:
1
,
2
,
3
...
14
,
15
,
16
,
17
Алгебра, 9 Класс
Школьный раздел
Сервисы
|
Главная
(c)
m.sasisa.cc