Войти на сайт
(
)
Алгебра 9 класс. Макарычев (9 класс)
Номер задания
911
|
912
|
913
|
914
|
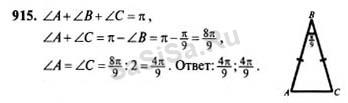
915
|
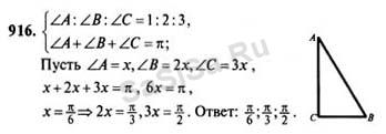
916
|
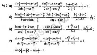
917
918
|
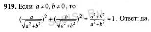
919
|
920
|
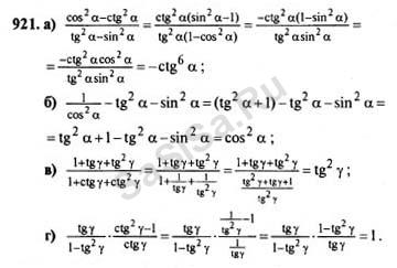
921
|
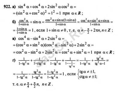
922
|
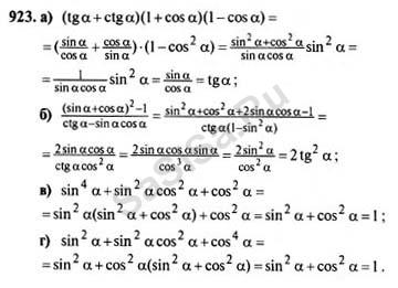
923
|
924
925
|
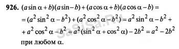
926
|
927
|
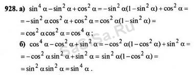
928
|
929
|
930
|
931
932
|
933
|
934
|
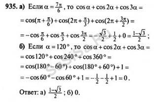
935
|
936
|
937
|
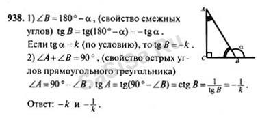
938
939
|
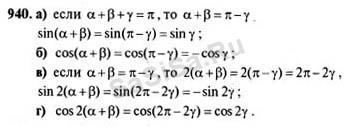
940
|
941
|
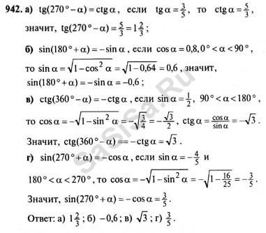
942
|
943
|
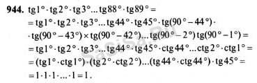
944
|
945
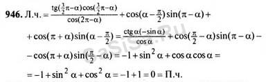
946
|
947
|
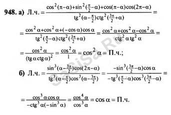
948
|
949
|
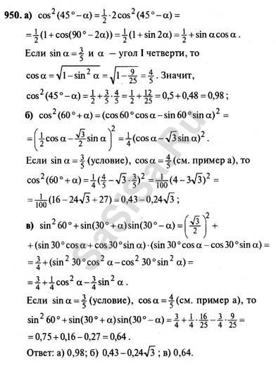
950
|
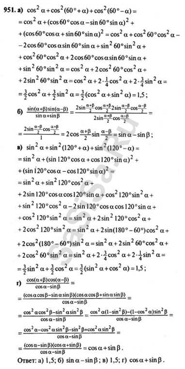
951
|
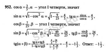
952
953
|
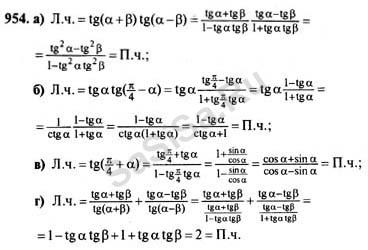
954
|
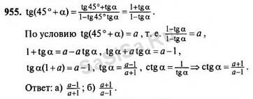
955
|
956
|
957
|
958
|
959
960
|
961
|
962
|
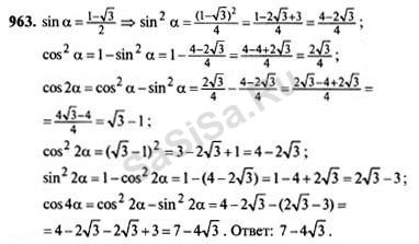
963
|
964
|
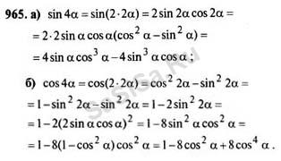
965
|
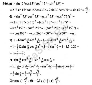
966
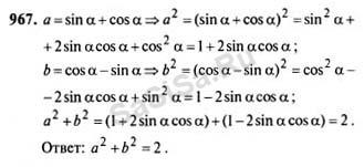
967
|
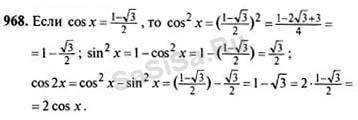
968
|
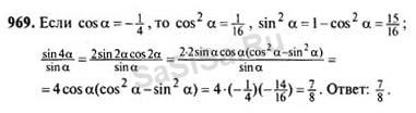
969
|
970
|
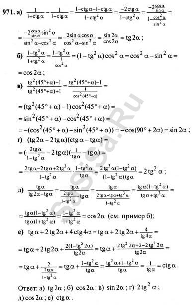
971
|
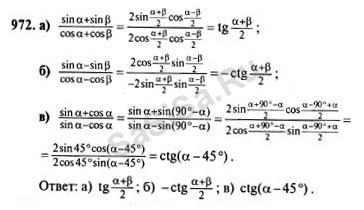
972
|
973
974
|
975
|
976
|
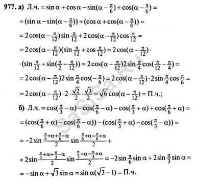
977
|
978
|
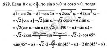
979
|
980
Далее »
« Назад
Страница:
1
,
2
,
3
...
13
,
14
,
15
,
16
,
17
Алгебра, 9 Класс
Школьный раздел
Сервисы
|
Главная
(c)
m.sasisa.cc