Войти на сайт
(
)
Алгебра 9 класс. Макарычев (9 класс)
Номер задания
841
|
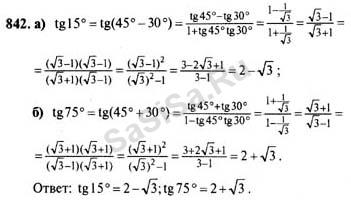
842
|
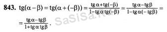
843
|
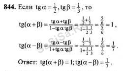
844
|
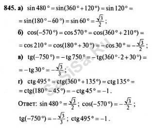
845
|
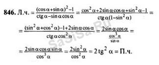
846
|
847
848
|
849
|
850
|
851
|
852
|
853
|
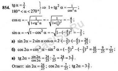
854
855
|
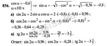
856
|
857
|
858
|
859
|
860
|
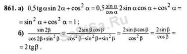
861
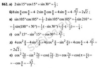
862
|
863
|
864
|
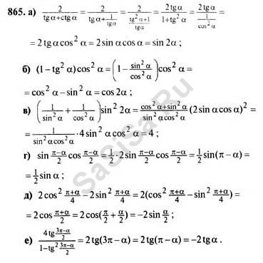
865
|
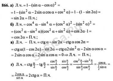
866
|
867
|
868
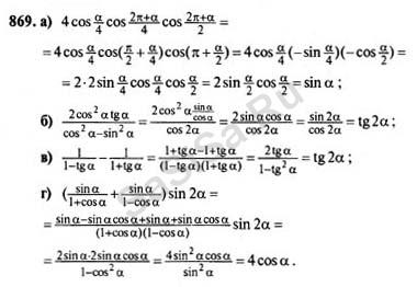
869
|
870
|
871
|
872
|
873
|
874
|
875
876
|
877
|
878
|
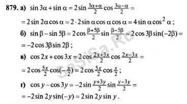
879
|
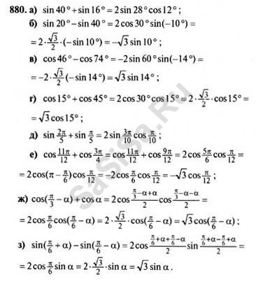
880
|
881
|
882
883
|
884
|
885
|
886
|
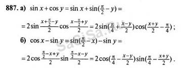
887
|
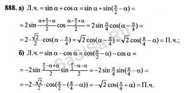
888
|
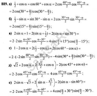
889
890
|
891
|
892
|
893
|
894
|
895
|
896
897
|
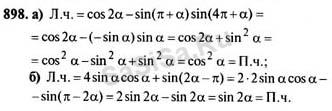
898
|
899
|
900
|
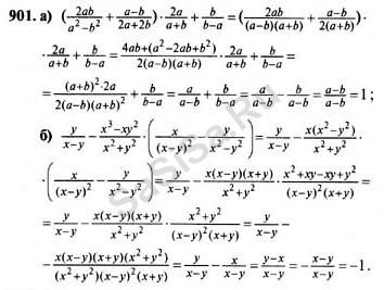
901
|
902
|
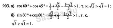
903
904
|
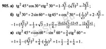
905
|
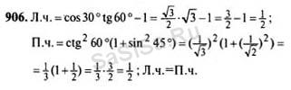
906
|
907
|
908
|
909
|
910
Далее »
« Назад
Страница:
1
,
2
,
3
...
12
,
13
,
14
,
15
,
16
,
17
Алгебра, 9 Класс
Школьный раздел
Сервисы
|
Главная
(c)
m.sasisa.cc