Войти на сайт
(
)
Алгебра 9 класс. Макарычев (9 класс)
Номер задания
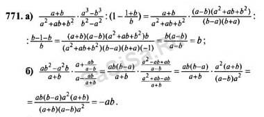
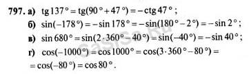
771
|
772
|
773
|
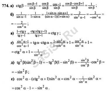
774
|
775
|
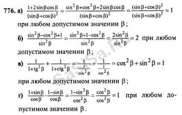
776
|
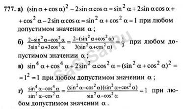
777
778
|
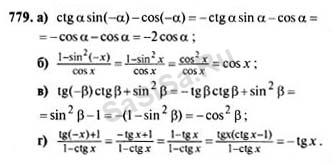
779
|
780
|
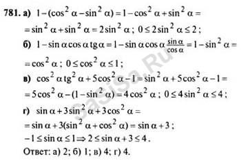
781
|
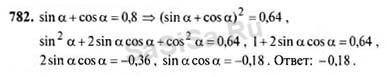
782
|
783
|
784
785
|
786
|
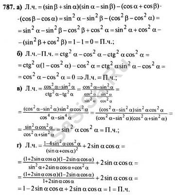
787
|
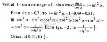
788
|
789
|
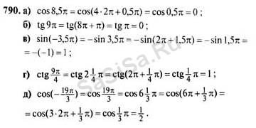
790
|
791
792
|
793
|
794
|
795
|
796
|
797
|
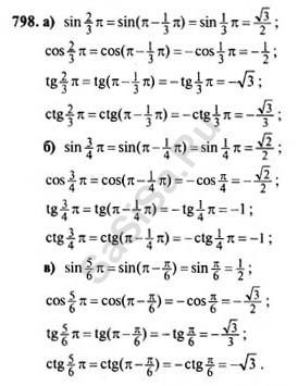
798
799
|
800
|
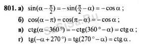
801
|
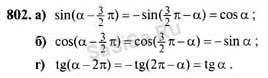
802
|
803
|
804
|
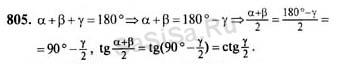
805
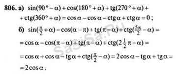
806
|
807
|
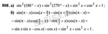
808
|
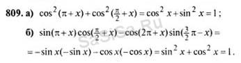
809
|
810
|
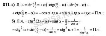
811
|
812
813
|
814
|
815
|
816
|
817
|
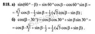
818
|
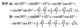
819
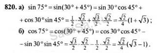
820
|
821
|
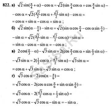
822
|
823
|
824
|
825
|
826
827
|
828
|
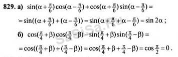
829
|
830
|
831
|
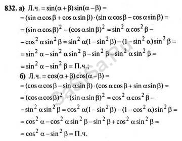
832
|
833
834
|
835
|
836
|
837
|
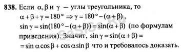
838
|
839
|
840
Далее »
« Назад
Страница:
1
,
2
,
3
...
11
,
12
,
13
...
15
,
16
,
17
Алгебра, 9 Класс
Школьный раздел
Сервисы
|
Главная
(c)
m.sasisa.cc