Войти на сайт
(
)
Алгебра 9 класс. Макарычев (9 класс)
Номер задания
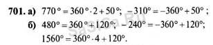
701
|
702
|
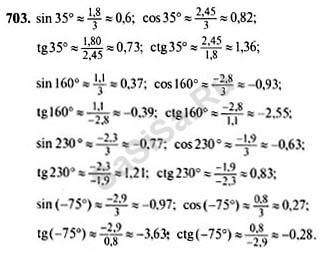
703
|
704
|
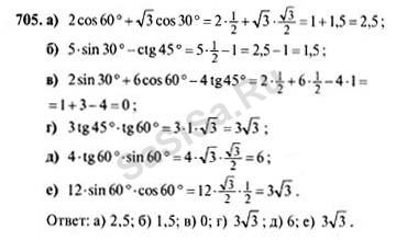
705
|
706
|
707
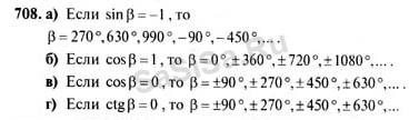
708
|
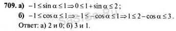
709
|
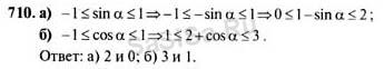
710
|
711
|
712
|
713
|
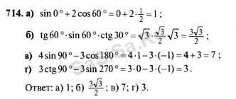
714
715
|
716
|
717
|
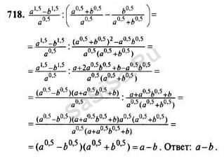
718
|
719
|
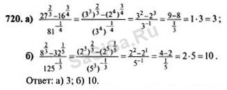
720
|
721
722
|
723
|
724
|
725
|
726
|
727
|
728
729
|
730
|
731
|
732
|
733
|
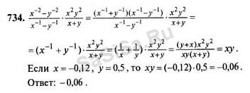
734
|
735
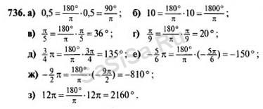
736
|
737
|
738
|
739
|
740
|
741
|
742
743
|
744
|
745
|
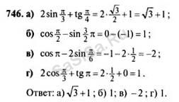
746
|
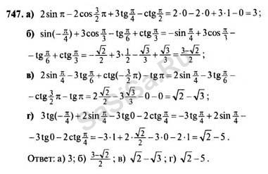
747
|
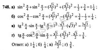
748
|
749
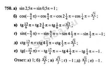
750
|
751
|
752
|
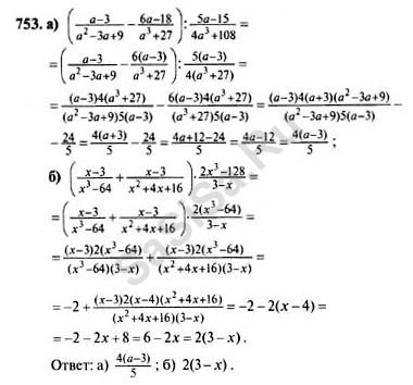
753
|
754
|
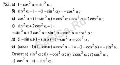
755
|
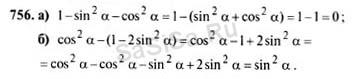
756
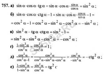
757
|
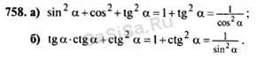
758
|
759
|
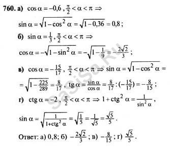
760
|
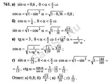
761
|
762
|
763
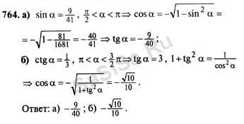
764
|
765
|
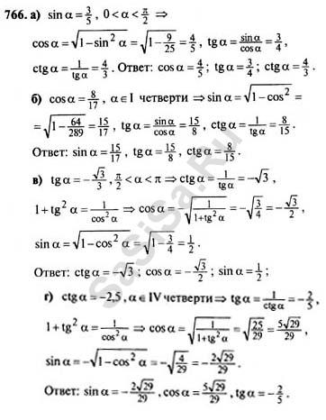
766
|
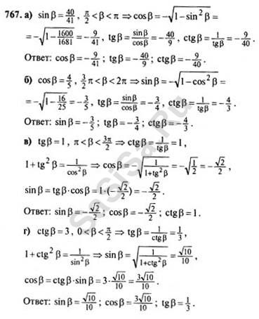
767
|
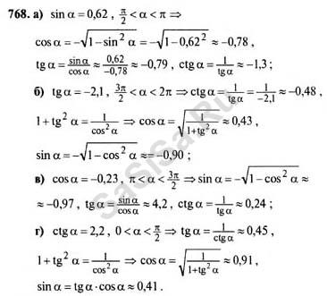
768
|
769
|
770
Далее »
« Назад
Страница:
1
,
2
,
3
...
10
,
11
,
12
...
15
,
16
,
17
Алгебра, 9 Класс
Школьный раздел
Сервисы
|
Главная
(c)
m.sasisa.cc