Войти на сайт
(
)
Алгебра 9 класс. Макарычев (9 класс)
Номер задания
71
|
72
|
73
|
74
|
75
|
76
|
77
78
|
79
|
80
|
81
|
82
|
83
|
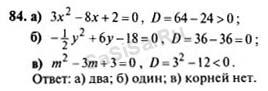
84
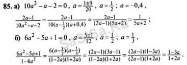
85
|
86
|
87
|
88
|
89
|
90
|
91
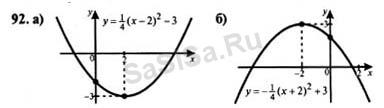
92
|
93
|
94
|
95
|
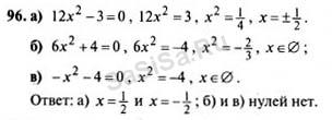
96
|
97
|
98
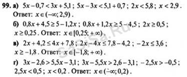
99
|
100
|
101
|
102
|
103
|
104
|
105
106
|
107
|
108
|
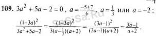
109
|
110
|
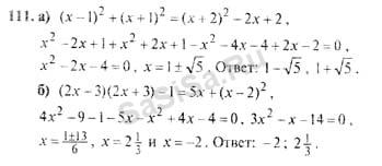
111
|
112
113
|
114
|
115
|
116
|
117
|
118
|
119
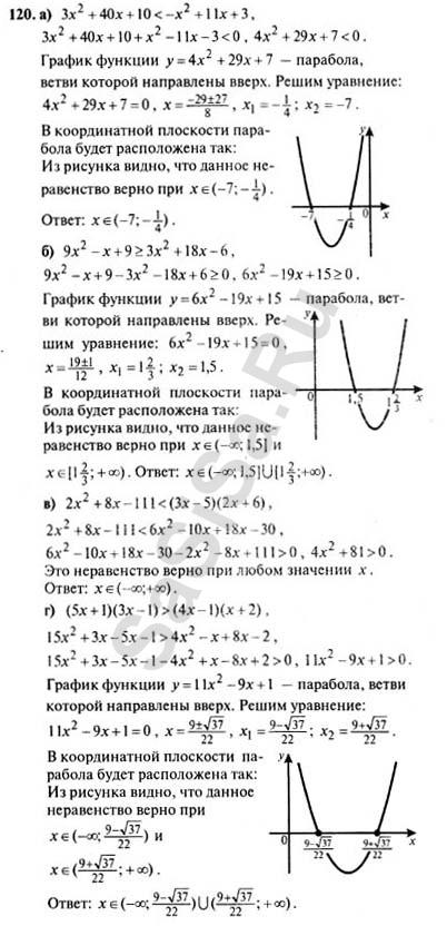
120
|
121
|
122
|
123
|
124
|
125
|
126
127
|
128
|
129
|
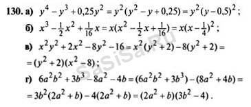
130
|
131
|
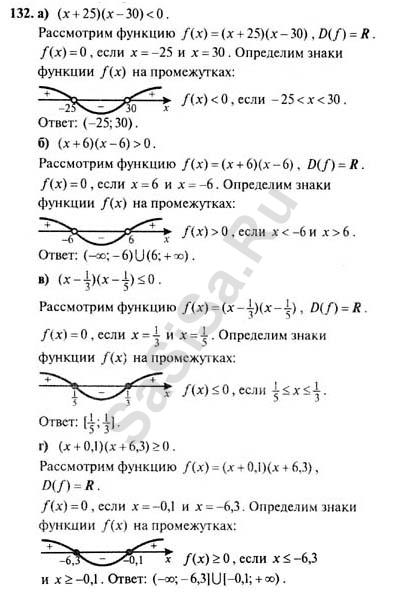
132
|
133
134
|
135
|
136
|
137
|
138
|
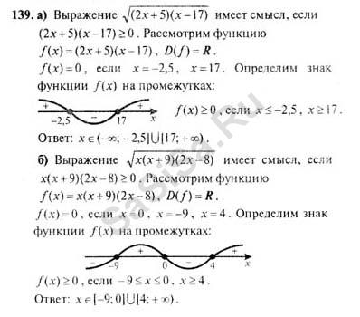
139
|
140
Далее »
« Назад
Страница:
1
,
2
,
3
, ...
15
,
16
,
17
Алгебра, 9 Класс
Школьный раздел
Сервисы
|
Главная
(c)
m.sasisa.cc