Войти на сайт
(
)
Алгебра 9 класс. Макарычев (9 класс)
Номер задания
631
|
632
|
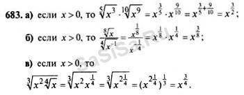
633
|
634
|
635
|
636
|
637
638
|
639
|
640
|
641
|
642
|
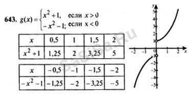
643
|
644
645
|
646
|
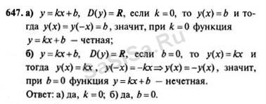
647
|
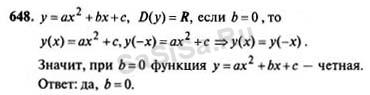
648
|
649
|
650
|
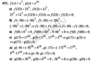
651
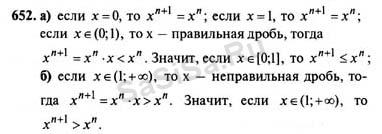
652
|
653
|
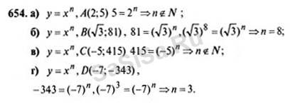
654
|
655
|
656
|
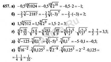
657
|
658
659
|
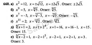
660
|
661
|
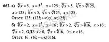
662
|
663
|
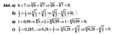
664
|
665
666
|
667
|
668
|
669
|
670
|
671
|
672
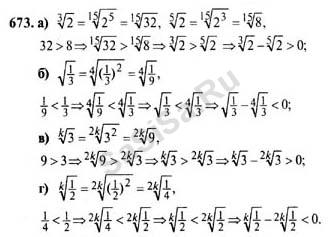
673
|
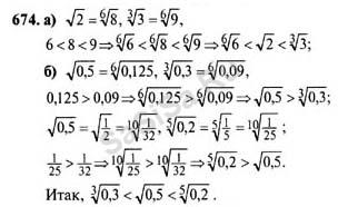
674
|
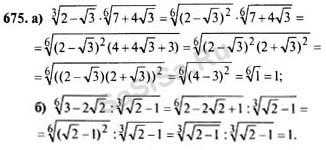
675
|
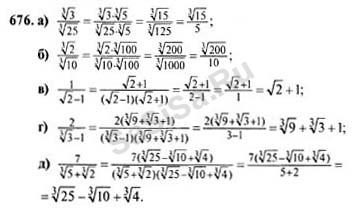
676
|
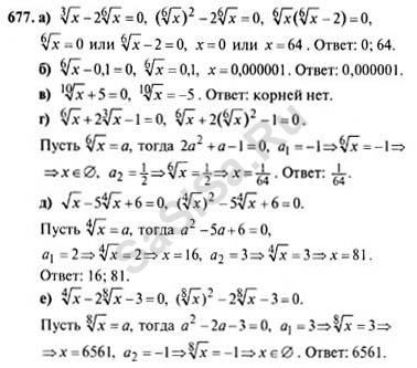
677
|
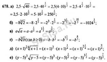
678
|
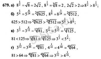
679
680
|
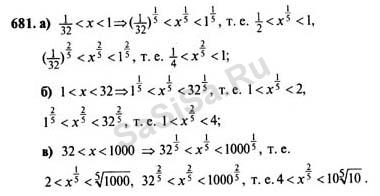
681
|
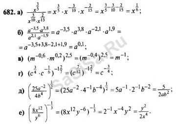
682
|
683
|
684
|
685
|
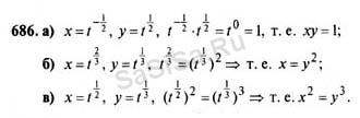
686
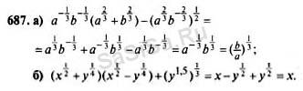
687
|
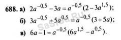
688
|
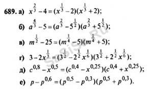
689
|
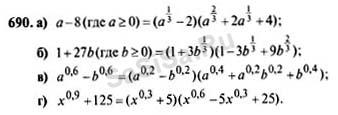
690
|
691
|
692
|
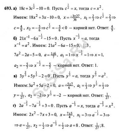
693
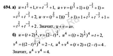
694
|
695
|
696
|
697
|
698
|
699
|
700
Далее »
« Назад
Страница:
1
,
2
,
3
...
9
,
10
,
11
...
15
,
16
,
17
Алгебра, 9 Класс
Школьный раздел
Сервисы
|
Главная
(c)
m.sasisa.cc