Войти на сайт
(
)
Алгебра 9 класс. Макарычев (9 класс)
Номер задания
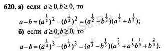
561
|
562
|
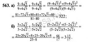
563
|
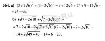
564
|
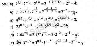
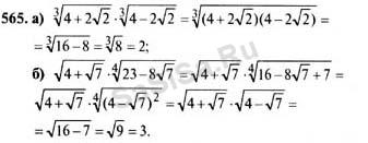
565
|
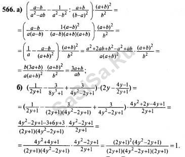
566
|
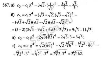
567
568
|
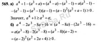
569
|
570
|
571
|
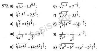
572
|
573
|
574
575
|
576
|
577
|
578
|
579
|
580
|
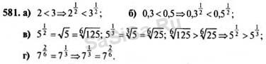
581
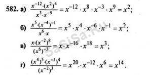
582
|
583
|
584
|
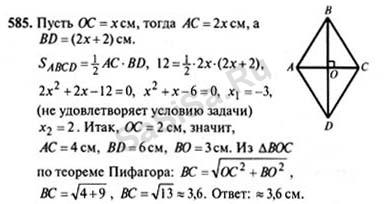
585
|
586
|
587
|
588
589
|
590
|
591
|
592
|
593
|
594
|
595
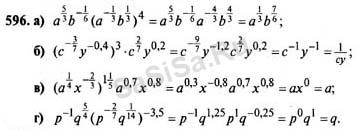
596
|
597
|
598
|
599
|
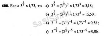
600
|
601
|
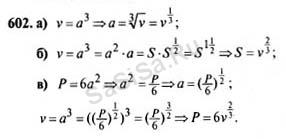
602
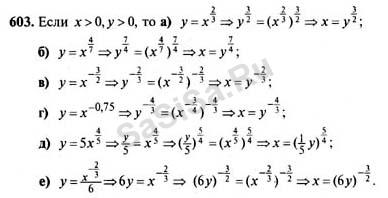
603
|
604
|
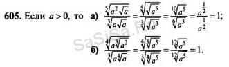
605
|
606
|
607
|
608
|
609
610
|
611
|
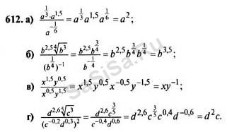
612
|
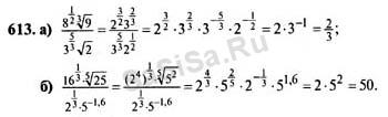
613
|
614
|
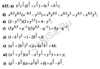
615
|
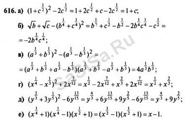
616
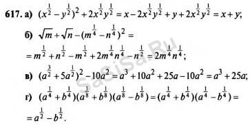
617
|
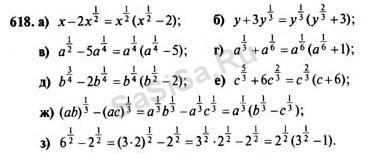
618
|
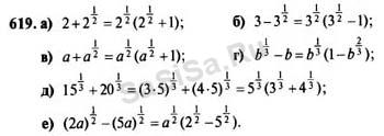
619
|
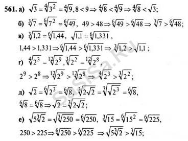
620
|
621
|
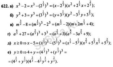
622
|
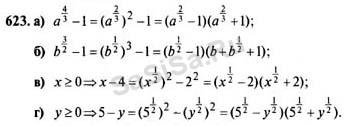
623
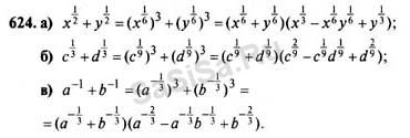
624
|
625
|
626
|
627
|
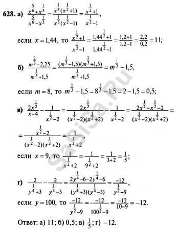
628
|
629
|
630
Далее »
« Назад
Страница:
1
,
2
,
3
...
8
,
9
,
10
...
15
,
16
,
17
Алгебра, 9 Класс
Школьный раздел
Сервисы
|
Главная
(c)
m.sasisa.cc