Войти на сайт
(
)
Алгебра 9 класс. Макарычев (9 класс)
Номер задания
421
|
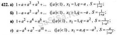
422
|
423
|
424
|
425
|
426
|
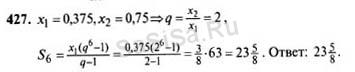
427
428
|
429
|
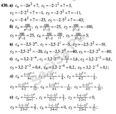
430
|
431
|
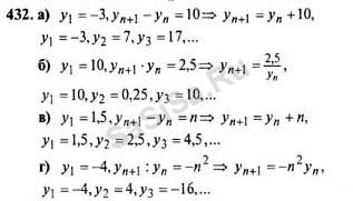
432
|
433
|
434
435
|
436
|
437
|
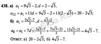
438
|
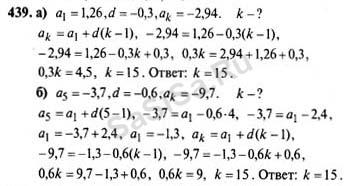
439
|
440
|
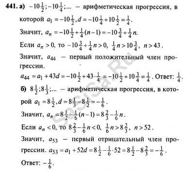
441
442
|
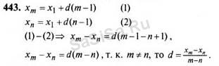
443
|
444
|
445
|
446
|
447
|
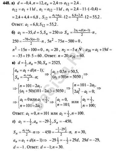
448
449
|
450
|
451
|
452
|
453
|
454
|
455
456
|
457
|
458
|
459
|
460
|
461
|
462
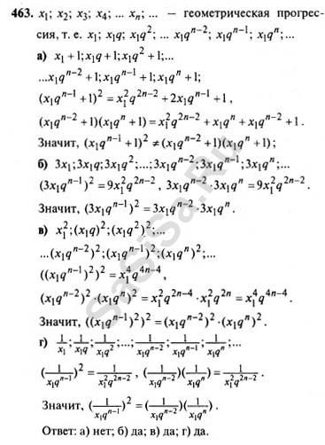
463
|
464
|
465
|
466
|
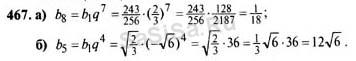
467
|
468
|
469
470
|
471
|
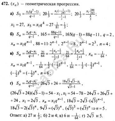
472
|
473
|
474
|
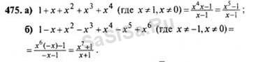
475
|
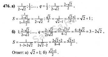
476
477
|
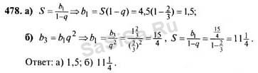
478
|
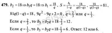
479
|
480
|
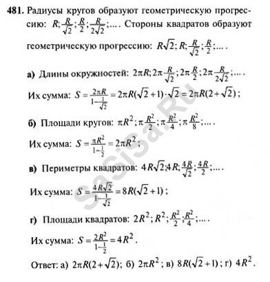
481
|
482
|
483
484
|
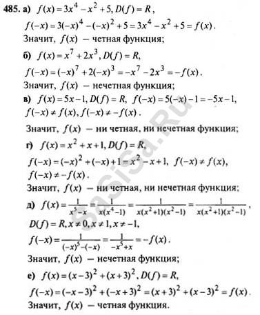
485
|
486
|
487
|
488
|
489
|
490
Далее »
« Назад
Страница:
1
,
2
,
3
...
6
,
7
,
8
...
15
,
16
,
17
Алгебра, 9 Класс
Школьный раздел
Сервисы
|
Главная
(c)
m.sasisa.cc