Войти на сайт
(
)
Алгебра 9 класс. Макарычев (9 класс)
Номер задания
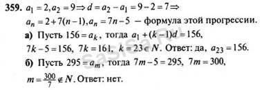
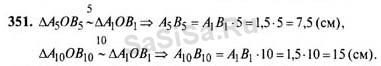
351
|
352
|
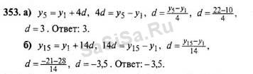
353
|
354
|
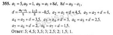
355
|
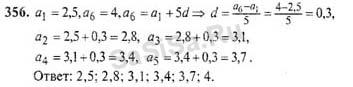
356
|
357
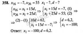
358
|
359
|
360
|
361
|
362
|
363
|
364
365
|
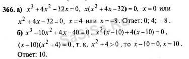
366
|
367
|
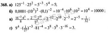
368
|
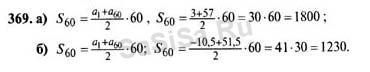
369
|
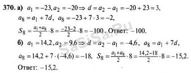
370
|
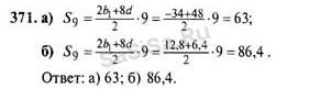
371
372
|
373
|
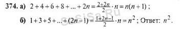
374
|
375
|
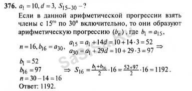
376
|
377
|
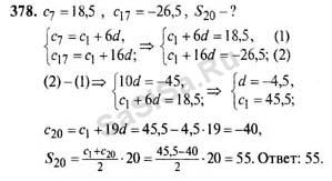
378
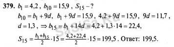
379
|
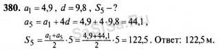
380
|
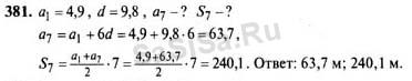
381
|
382
|
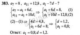
383
|
384
|
385
386
|
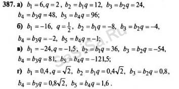
387
|
388
|
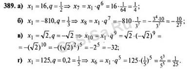
389
|
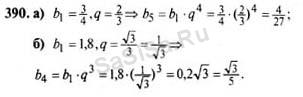
390
|
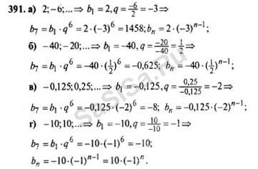
391
|
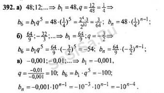
392
393
|
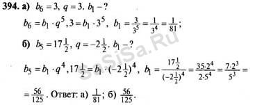
394
|
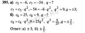
395
|
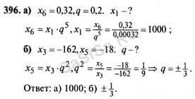
396
|
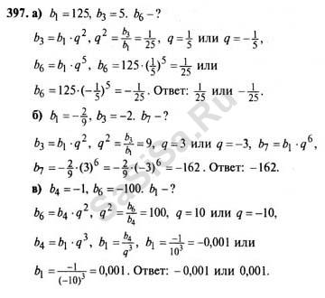
397
|
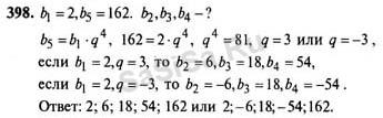
398
|
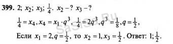
399
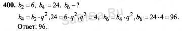
400
|
401
|
402
|
403
|
404
|
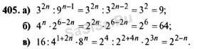
405
|
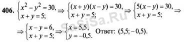
406
407
|
408
|
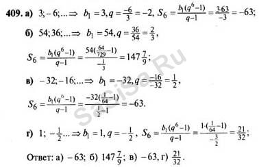
409
|
410
|
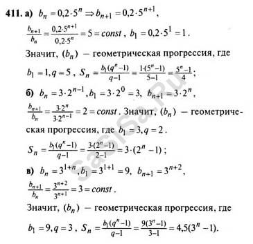
411
|
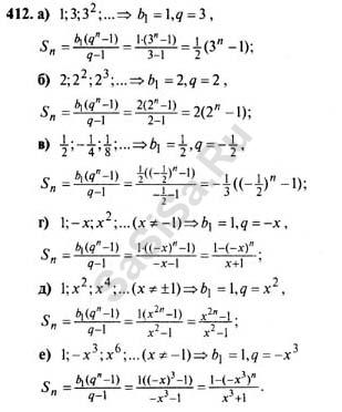
412
|
413
414
|
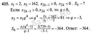
415
|
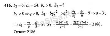
416
|
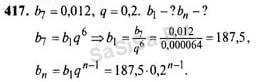
417
|
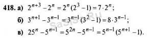
418
|
419
|
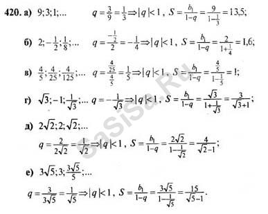
420
Далее »
« Назад
Страница:
1
,
2
,
3
...
5
,
6
,
7
...
15
,
16
,
17
Алгебра, 9 Класс
Школьный раздел
Сервисы
|
Главная
(c)
m.sasisa.cc