Войти на сайт
(
)
Алгебра 9 класс. Макарычев (9 класс)
Номер задания
281
|
282
|
283
|
284
|
285
|
286
|
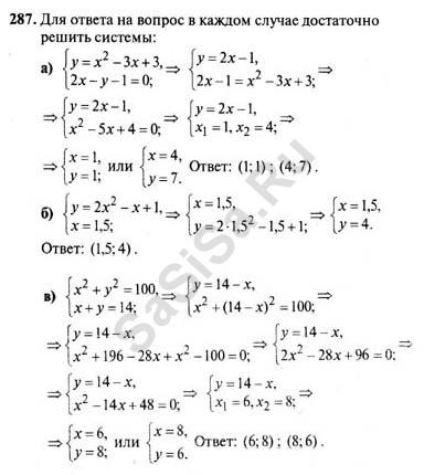
287
288
|
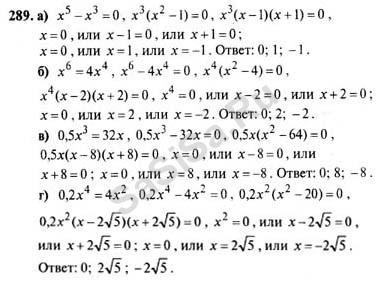
289
|
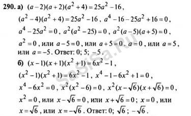
290
|
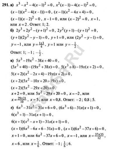
291
|
292
|
293
|
294
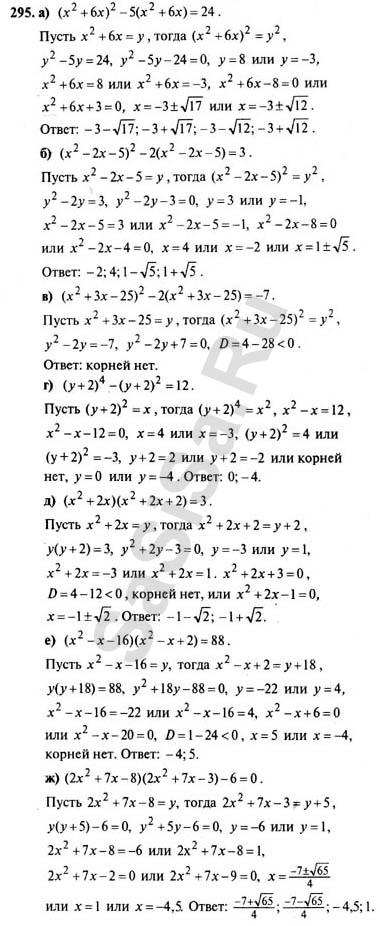
295
|
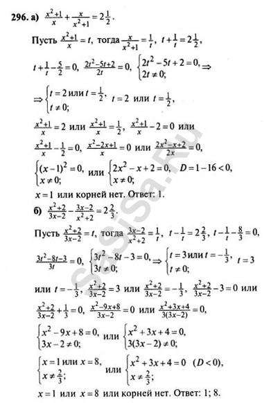
296
|
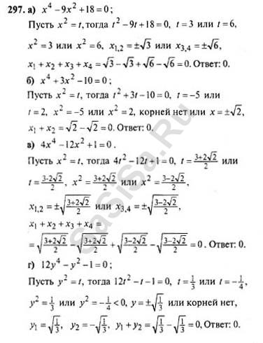
297
|
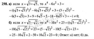
298
|
299
|
300
|
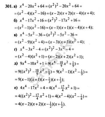
301
302
|
303
|
304
|
305
|
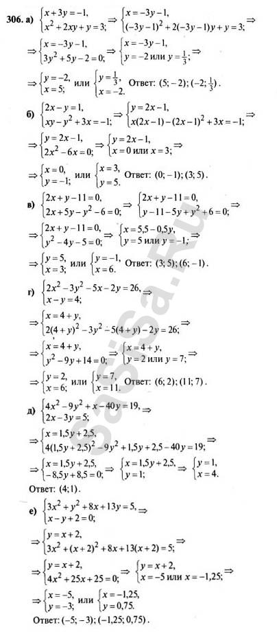
306
|
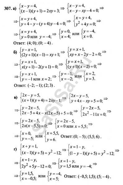
307
|
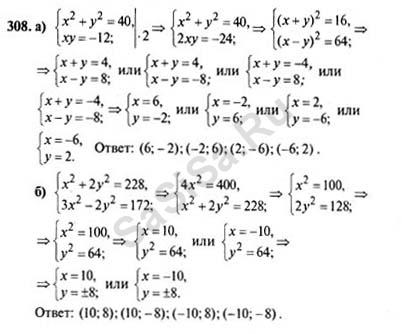
308
309
|
310
|
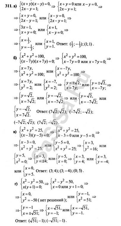
311
|
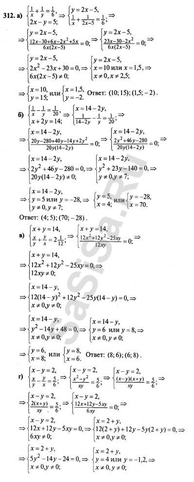
312
|
313
|
314
|
315
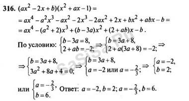
316
|
317
|
318
|
319
|
320
|
321
|
322
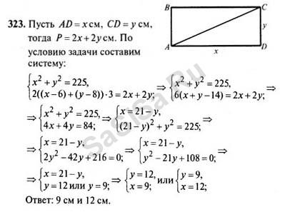
323
|
324
|
325
|
326
|
327
|
328
|
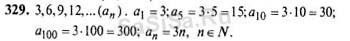
329
330
|
331
|
332
|
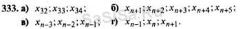
333
|
334
|
335
|
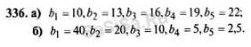
336
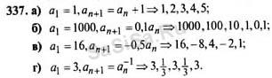
337
|
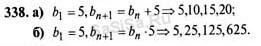
338
|
339
|
340
|
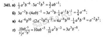
341
|
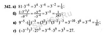
342
|
343
344
|
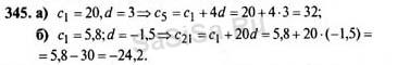
345
|
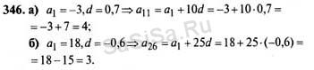
346
|
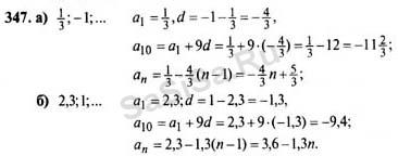
347
|
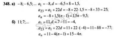
348
|
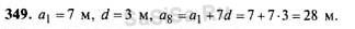
349
|
350
Далее »
« Назад
Страница:
1
,
2
,
3
,
4
,
5
,
6
...
15
,
16
,
17
Алгебра, 9 Класс
Школьный раздел
Сервисы
|
Главная
(c)
m.sasisa.cc