Войти на сайт
(
)
Алгебра 9 класс. Макарычев (9 класс)
Номер задания
211
|
212
|
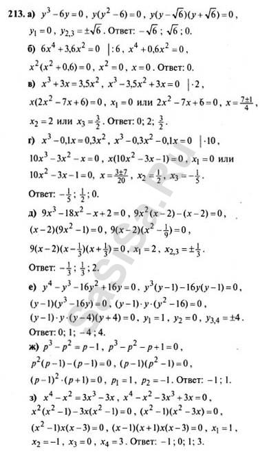
213
|
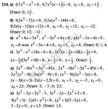
214
|
215
|
216
|
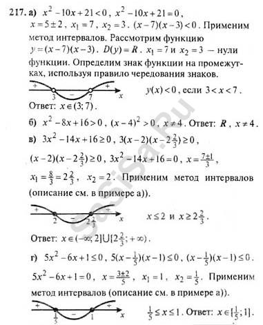
217
218
|
219
|
220
|
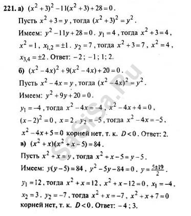
221
|
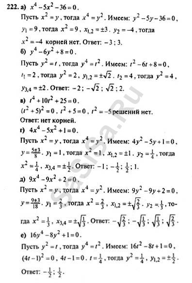
222
|
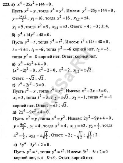
223
|
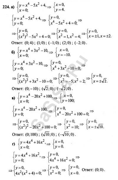
224
225
|
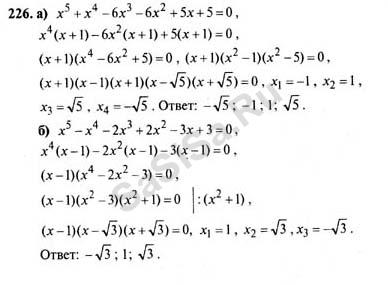
226
|
227
|
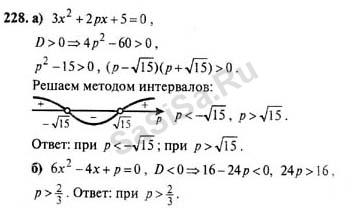
228
|
229
|
230
|
231
232
|
233
|
234
|
235
|
236
|
237
|
238
239
|
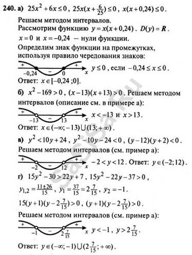
240
|
241
|
242
|
243
|
244
|
245
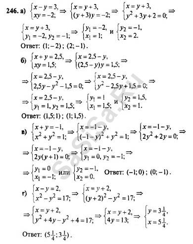
246
|
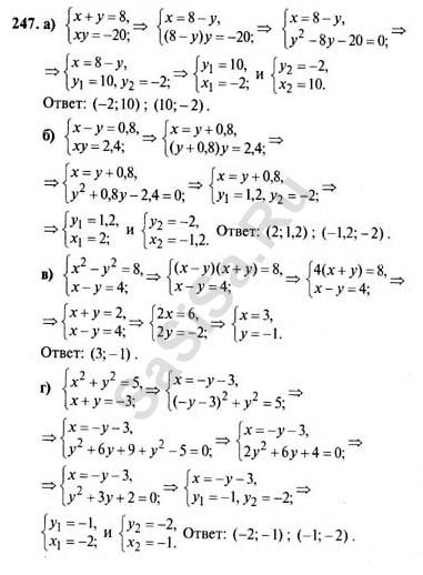
247
|
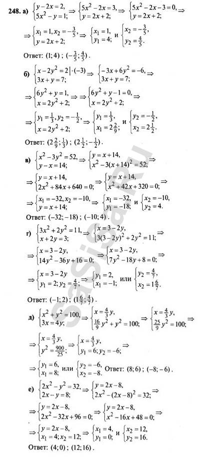
248
|
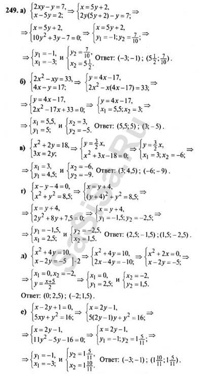
249
|
250
|
251
|
252
253
|
254
|
255
|
256
|
257
|
258
|
259
260
|
261
|
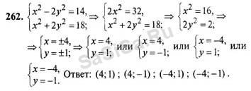
262
|
263
|
264
|
265
|
266
267
|
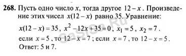
268
|
269
|
270
|
271
|
272
|
273
274
|
275
|
276
|
277
|
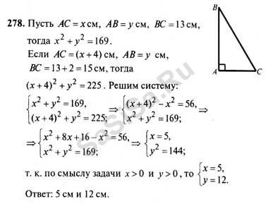
278
|
279
|
280
Далее »
« Назад
Страница:
1
,
2
,
3
,
4
,
5
...
15
,
16
,
17
Алгебра, 9 Класс
Школьный раздел
Сервисы
|
Главная
(c)
m.sasisa.cc