Войти на сайт
(
)
Алгебра 9 класс. Макарычев (9 класс)
Номер задания
1060
|
1061
|
1062
|
1063
|
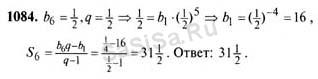
1064
|
1065
|
1066
1067
|
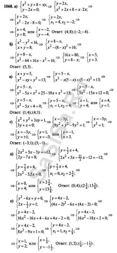
1068
|
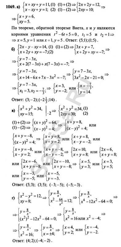
1069
|
1070
|
1071
|
1072
|
1073
1074
|
1075
|
1076
|
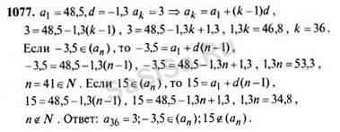
1077
|
1078
|
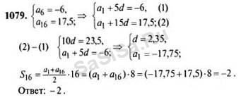
1079
|
1080
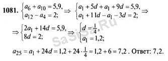
1081
|
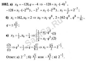
1082
|
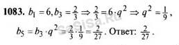
1083
|
1084
|
1085
|
1086
|
1087
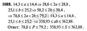
1088
|
1089
|
1090
|
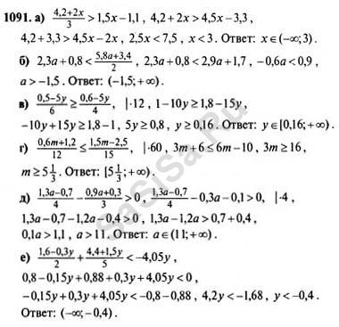
1091
|
1092
|
1093
|
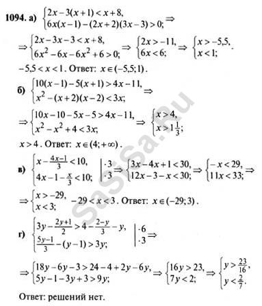
1094
1095
|
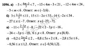
1096
|
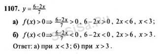
1097
|
1098
|
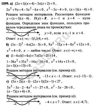
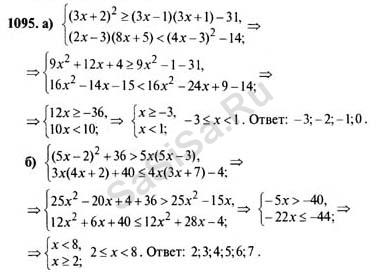
1099
|
1100
|
1101
1102
|
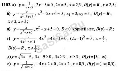
1103
|
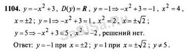
1104
|
1105
|
1106
|
1107
|
1108
1109
|
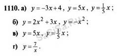
1110
|
1111
|
1112
|
1113
|
1114
|
1115
1116
|
1117
|
1118
|
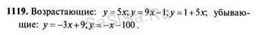
1119
|
1120
|
1121
|
1122
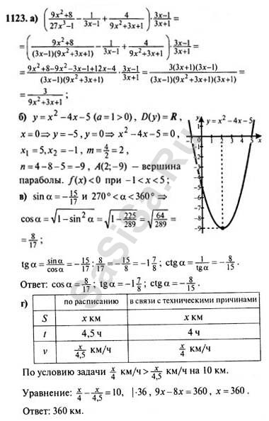
1123
|
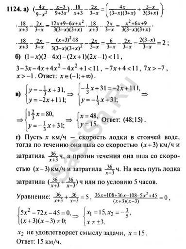
1124
|
1125
|
1126
|
1127
|
1128
|
1129
Далее »
« Назад
Страница:
1
,
2
,
3
... ,
15
,
16
,
17
Алгебра, 9 Класс
Школьный раздел
Сервисы
|
Главная
(c)
m.sasisa.cc