Войти на сайт
(
)
Алгебра 9 класс. Макарычев (9 класс)
Номер задания
1
|
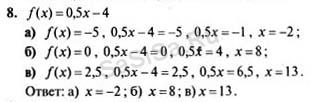
2
|
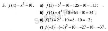
3
|
4
|
5
|
6
|
7
8
|
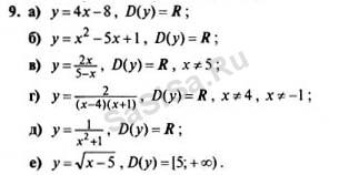
9
|
10
|
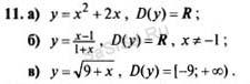
11
|
12
|
13
|
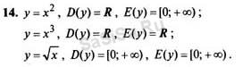
14
15
|
16
|
17
|
18
|
19
|
20
|
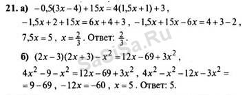
21
22
|
23
|
24
|
25
|
26
|
27
|
28
29
|
30
|
31
|
32
|
33
|
34
|
35
36
|
37
|
38
|
39
|
40
|
41
|
42
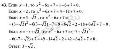
43
|
44
|
45
|
46
|
47
|
48
|
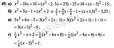
49
50
|
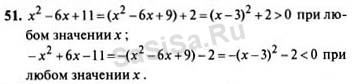
51
|
52
|
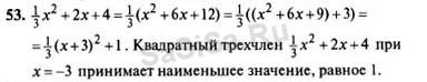
53
|
54
|
55
|
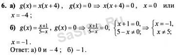
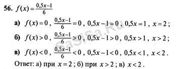
56
57
|
58
|
59
|
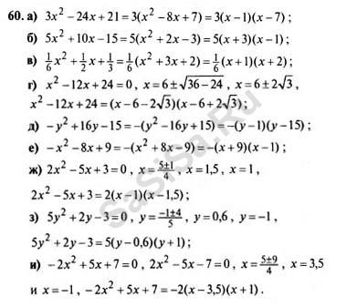
60
|
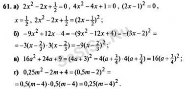
61
|
62
|
63
64
|
65
|
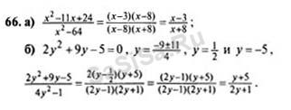
66
|
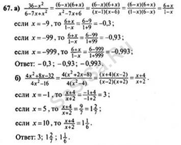
67
|
68
|
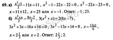
69
|
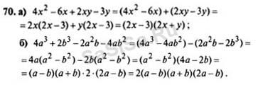
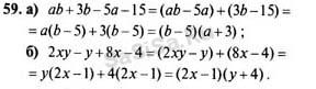
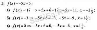
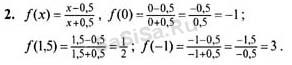
70
Далее »
Страница:
1
,
2
,
3
...
15
,
16
,
17
Алгебра, 9 Класс
Школьный раздел
Сервисы
|
Главная
(c)
m.sasisa.cc