Войти на сайт ( )
Геометрия 7-11 класс. Погорелов А.В. (7 класс)
Страница: 118
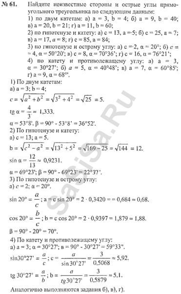
Номер задания
48 | 49 | 50 | 51 | 52 | 53 | 54
55 | 56 | 57 | 58 | 59 | 60 | 61
62 |
Геометрия, 7 Класс
Школьный раздел
Сервисы | Главная
(c) m.sasisa.cc