Войти на сайт ( )
Химия 8 класс. Габриелян О.С. (8 класс)
Страница: 87
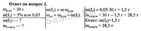
Номер вопроса
1 | 2 |
Химия, 8 Класс
Школьный раздел
Сервисы | Главная
(c) m.sasisa.cc