Войти на сайт
(
)
Алгебра 7 класс. Алимов Ш.А. (7 класс)
Номер задания
562
|
563
|
564
|
565
|
566
|
567
|
568
569
|
570
|
571
|
572
|
573
|
574
|
575
576
|
577
|
578
|
579
|
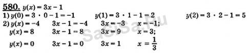
580
|
581
|
582
583
|
584
|
585
|
586
|
587
|
588
|
589
590
|
591
|
592
|
593
|
594
|
595
|
596
597
|
598
|
599
|
600
|
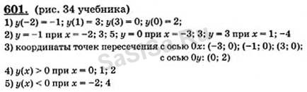
601
|
602
|
603
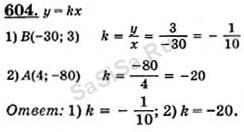
604
|
605
|
606
|
607
|
608
|
609
|
610
611
|
612
|
613
|
614
|
615
|
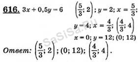
616
|
617
618
|
619
|
620
|
621
|
622
|
623
|
624
625
|
626
|
627
|
628
|
629
|
630
|
631
Далее »
« Назад
Страница:
1
,
2
,
3
,
4
,
5
,
6
,
7
,
8
,
9
,
10
Алгебра, 7 Класс
Школьный раздел
Сервисы
|
Главная
(c)
m.sasisa.cc