Войти на сайт
(
)
Алгебра 7 класс. Алимов Ш.А. (7 класс)
Номер задания
492
|
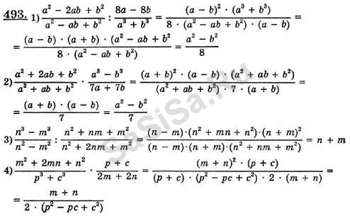
493
|
494
|
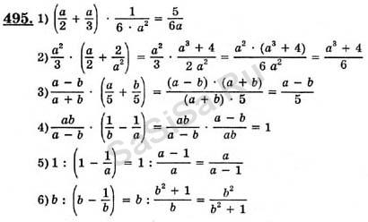
495
|
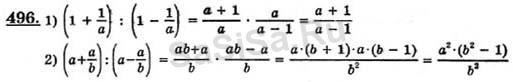
496
|
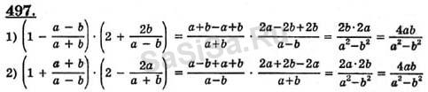
497
|
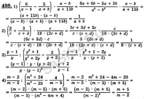
498
499
|
500
|
501
|
502
|
503
|
504
|
505
506
|
507
|
508
|
509
|
510
|
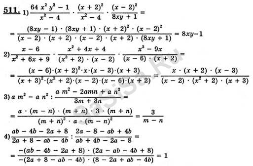
511
|
512
513
|
514
|
515
|
516
|
517
|
518
|
519
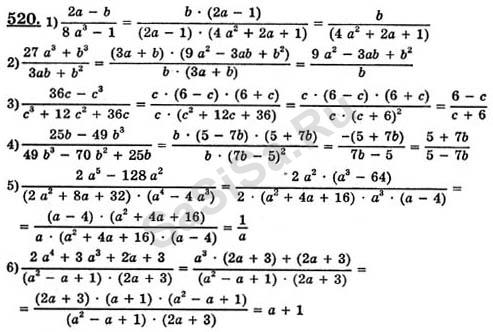
520
|
521
|
522
|
523
|
524
|
525
|
526
527
|
528
|
529
|
530
|
531
|
532
|
533
534
|
535
|
536
|
537
|
538
|
539
|
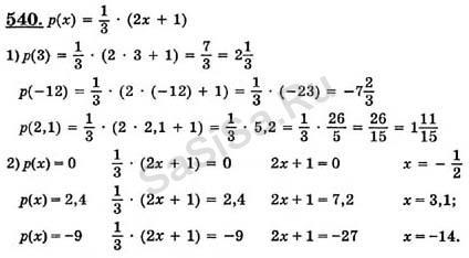
540
541
|
542
|
543
|
544
|
545
|
546
|
547
548
|
549
|
550
|
551
|
552
|
553
|
554
555
|
556
|
557
|
558
|
559
|
560
|
561
Далее »
« Назад
Страница:
1
,
2
,
3
,
4
,
5
,
6
,
7
,
8
,
9
,
10
Алгебра, 7 Класс
Школьный раздел
Сервисы
|
Главная
(c)
m.sasisa.cc