Войти на сайт
(
)
Алгебра 7 класс. Алимов Ш.А. (7 класс)
Номер задания
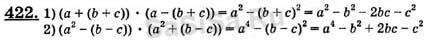
422
|
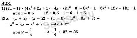
423
|
424
|
425
|
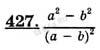
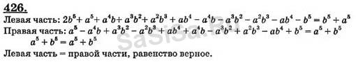
426
|
427
|
428
429
|
430
|
431
|
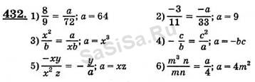
432
|
433
|
434
|
435
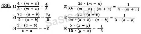
436
|
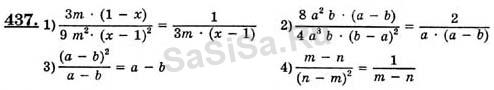
437
|
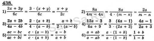
438
|
439
|
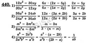
440
|
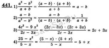
441
|
442
443
|
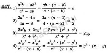
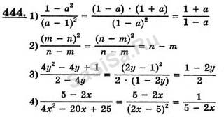
444
|
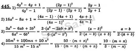
445
|
446
|
447
|
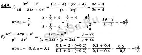
448
|
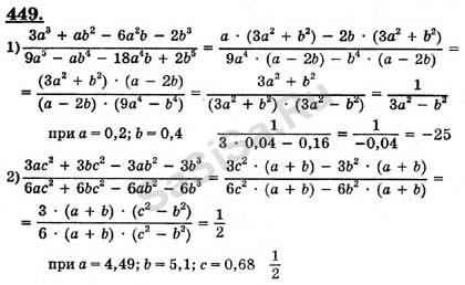
449
450
|
451
|
452
|
453
|
454
|
455
|
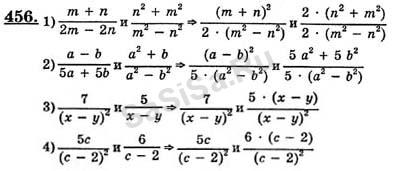
456
457
|
458
|
459
|
460
|
461
|
462
|
463
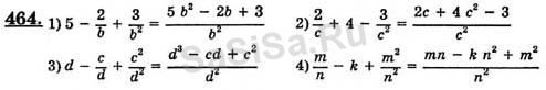
464
|
465
|
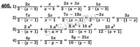
466
|
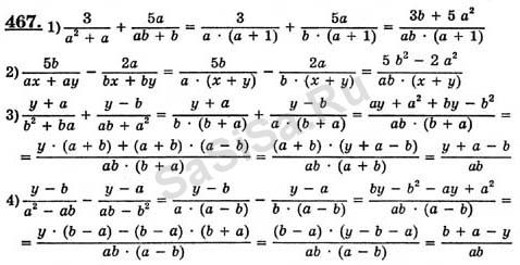
467
|
468
|
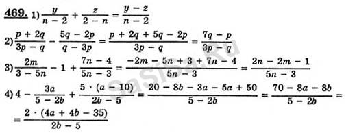
469
|
470
471
|
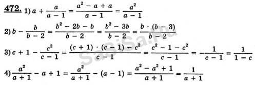
472
|
473
|
474
|
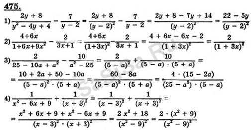
475
|
476
|
477
478
|
479
|
480
|
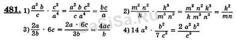
481
|
482
|
483
|
484
485
|
486
|
487
|
488
|
489
|
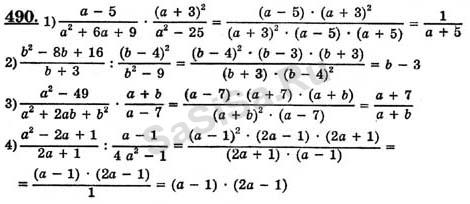
490
|
491
Далее »
« Назад
Страница:
1
,
2
,
3
,
4
,
5
,
6
,
7
,
8
,
9
,
10
Алгебра, 7 Класс
Школьный раздел
Сервисы
|
Главная
(c)
m.sasisa.cc