Войти на сайт
(
)
Алгебра 7 класс. Алимов Ш.А. (7 класс)
Номер задания
352
|
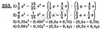
353
|
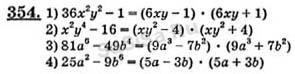
354
|
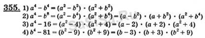
355
|
356
|
357
|
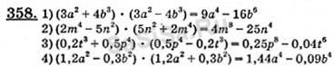
358
359
|
360
|
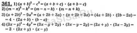
361
|
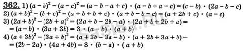
362
|
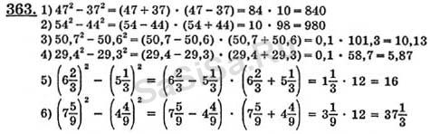
363
|
364
|
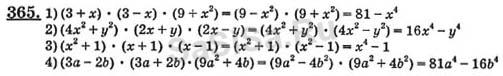
365
366
|
367
|
368
|
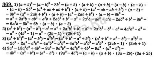
369
|
370
|
371
|
372
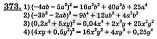
373
|
374
|
375
|
376
|
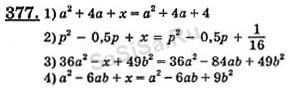
377
|
378
|
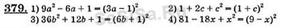
379
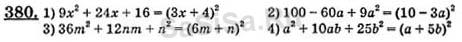
380
|
381
|
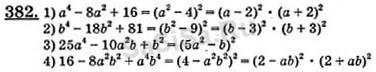
382
|
383
|
384
|
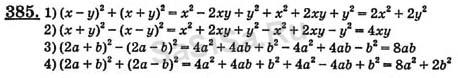
385
|
386
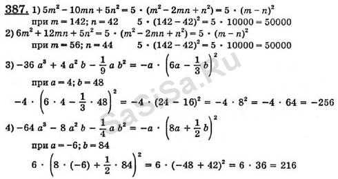
387
|
388
|
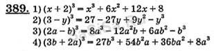
389
|
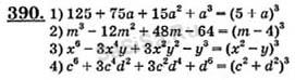
390
|
391
|
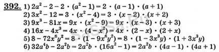
392
|
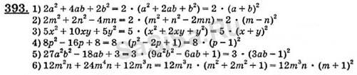
393
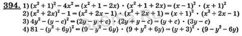
394
|
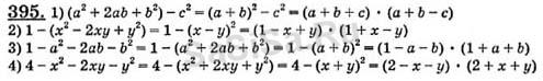
395
|
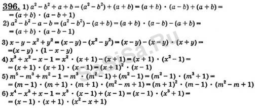
396
|
397
|
398
|
399
|
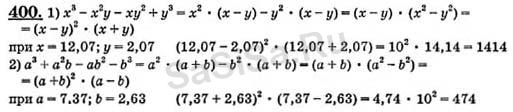
400
401
|
402
|
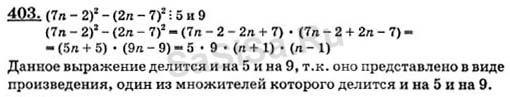
403
|
404
|
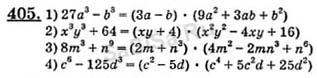
405
|
406
|
407
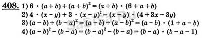
408
|
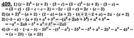
409
|
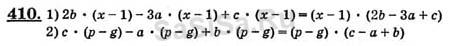
410
|
411
|
412
|
413
|
414
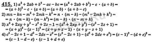
415
|
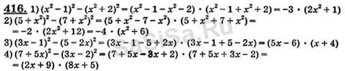
416
|
417
|
418
|
419
|
420
|
421
Далее »
« Назад
Страница:
1
,
2
,
3
,
4
,
5
,
6
,
7
,
8
,
9
,
10
Алгебра, 7 Класс
Школьный раздел
Сервисы
|
Главная
(c)
m.sasisa.cc