Войти на сайт
(
)
Алгебра 7 класс. Алимов Ш.А. (7 класс)
Номер задания
282
|
283
|
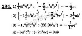
284
|
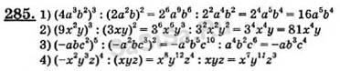
285
|
286
|
287
|
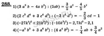
288
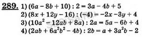
289
|
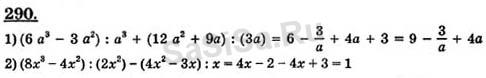
290
|
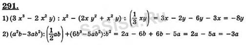
291
|
292
|
293
|
294
|
295
296
|
297
|
298
|
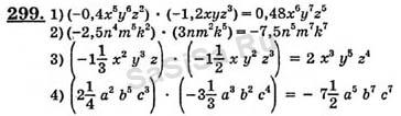
299
|
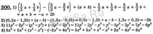
300
|
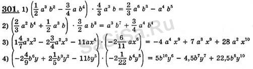
301
|
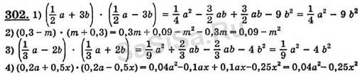
302
303
|
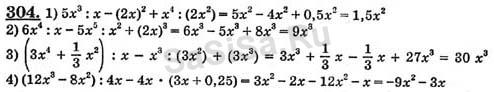
304
|
305
|
306
|
307
|
308
|
309
310
|
311
|
312
|
313
|
314
|
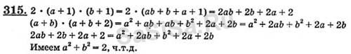
315
|
316
317
|
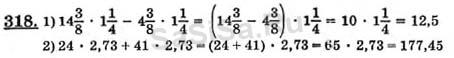
318
|
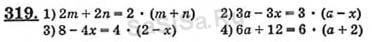
319
|
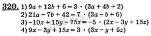
320
|
321
|
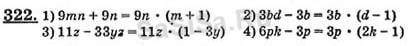
322
|
323
324
|
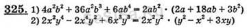
325
|
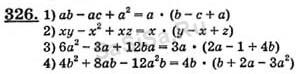
326
|
327
|
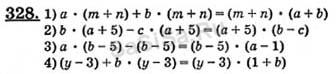
328
|
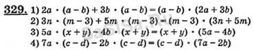
329
|
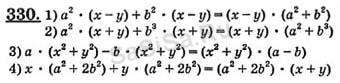
330
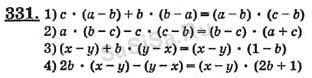
331
|
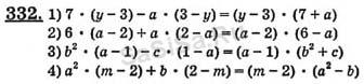
332
|
333
|
334
|
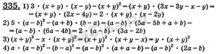
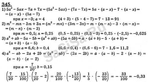
335
|
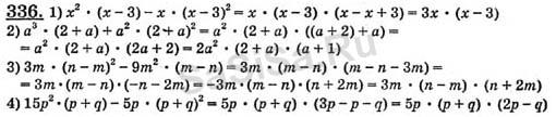
336
|
337
338
|
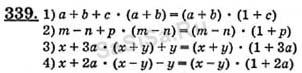
339
|
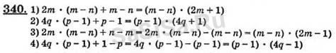
340
|
341
|
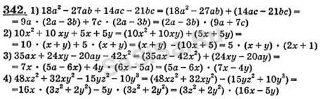
342
|
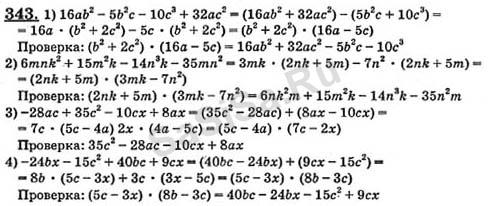
343
|
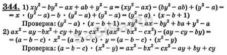
344
345
|
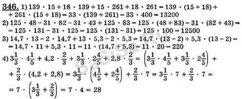
346
|
347
|
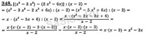
348
|
349
|
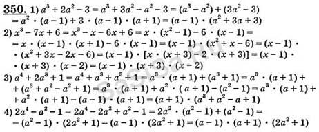
350
|
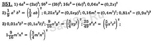
351
Далее »
« Назад
Страница:
1
,
2
,
3
,
4
,
5
,
6
,
7
,
8
,
9
,
10
Алгебра, 7 Класс
Школьный раздел
Сервисы
|
Главная
(c)
m.sasisa.cc