Войти на сайт
(
)
Алгебра 7 класс. Алимов Ш.А. (7 класс)
Номер задания
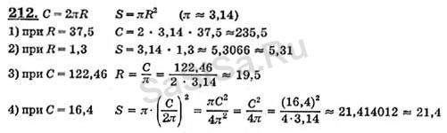
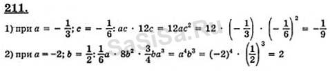
211
|
212
|
213
|
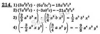
214
|
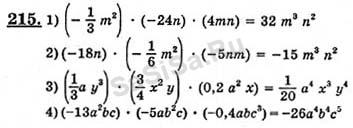
215
|
216
|
217
218
|
219
|
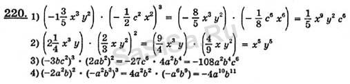
220
|
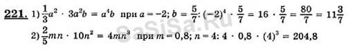
221
|
222
|
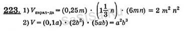
223
|
224
225
|
226
|
227
|
228
|
229
|
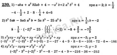
230
|
231
232
|
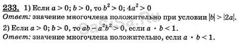
233
|
234
|
235
|
236
|
237
|
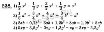
238
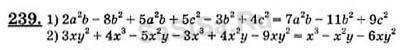
239
|
240
|
241
|
242
|
243
|
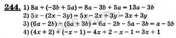
244
|
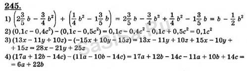
245
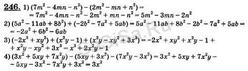
246
|
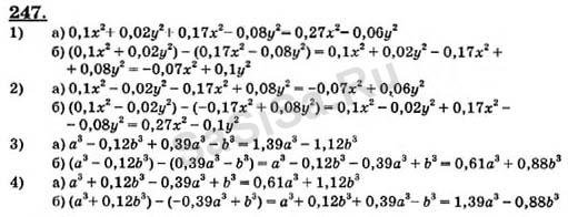
247
|
248
|
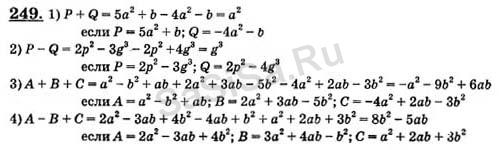
249
|
250
|
251
|
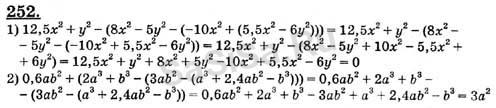
252
253
|
254
|
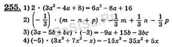
255
|
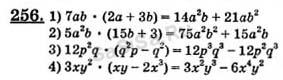
256
|
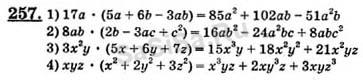
257
|
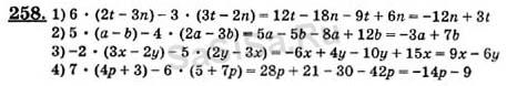
258
|
259
261
|
262
|
263
|
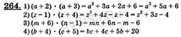
264
|
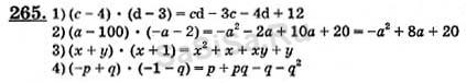
265
|
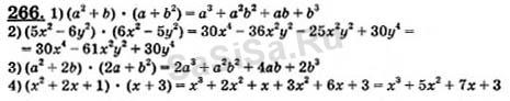
266
|
267
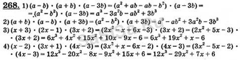
268
|
269
|
270
|
271
|
272
|
273
|
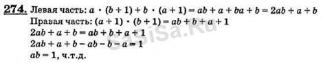
274
275
|
276
|
277
|
278
|
279
|
280
|
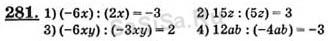
281
Далее »
« Назад
Страница:
1
,
2
,
3
,
4
,
5
,
6
,
7
,
8
,
9
,
10
Алгебра, 7 Класс
Школьный раздел
Сервисы
|
Главная
(c)
m.sasisa.cc