Войти на сайт
(
)
Алгебра 7 класс. Алимов Ш.А. (7 класс)
Номер задания
141
|
142
|
143
|
144
|
145
|
146
|
147
148
|
149
|
150
|
151
|
152
|
153
|
154
155
|
156
|
157
|
158
|
159
|
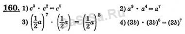
160
|
161
162
|
163
|
164
|
165
|
166
|
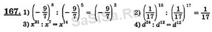
167
|
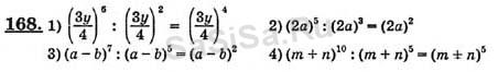
168
169
|
170
|
171
|
172
|
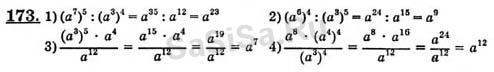
173
|
174
|
175
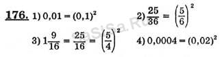
176
|
177
|
178
|
179
|
180
|
181
|
182
183
|
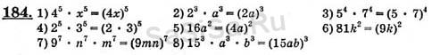
184
|
185
|
186
|
187
|
188
|
189
190
|
191
|
192
|
193
|
194
|
195
|
196
197
|
198
|
199
|
200
|
201
|
202
|
203
204
|
205
|
206
|
207
|
208
|
209
|
210
Далее »
« Назад
Страница:
1
,
2
,
3
,
4
,
5
,
6
,
7
,
8
,
9
,
10
Алгебра, 7 Класс
Школьный раздел
Сервисы
|
Главная
(c)
m.sasisa.cc