Войти на сайт
(
)
Алгебра 7 класс. Алимов Ш.А. (7 класс)
Номер задания
1
|
2
|
3
|
4
|
5
|
6
|
7
8
|
9
|
10
|
11
|
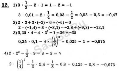
12
|
13
|
14
15
|
16
|
17
|
18
|
19
|
20
|
21
22
|
23
|
24
|
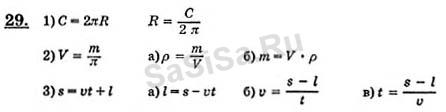
25
|
26
|
27
|
28
29
|
30
|
31
|
32
|
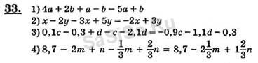
33
|
34
|
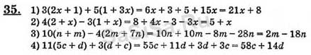
35
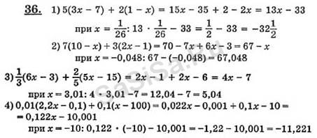
36
|
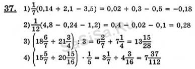
37
|
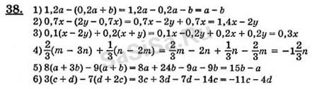
38
|
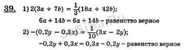
39
|
40
|
41
|
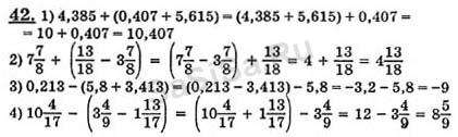
42
43
|
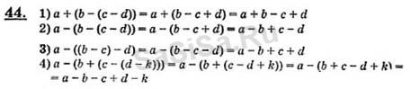
44
|
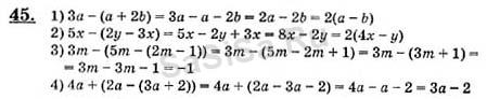
45
|
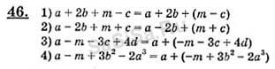
46
|
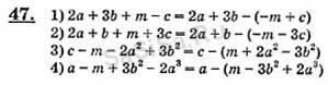
47
|
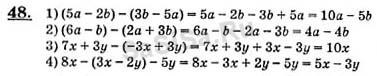
48
|
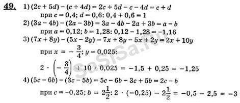
49
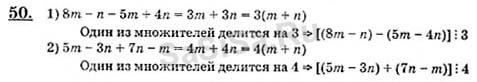
50
|
51
|
52
|
53
|
54
|
55
|
56
57
|
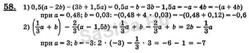
58
|
59
|
60
|
61
|
62
|
63
64
|
65
|
66
|
67
|
68
|
69
|
70
Далее »
Страница:
1
,
2
,
3
,
4
,
5
,
6
,
7
,
8
,
9
,
10
Алгебра, 7 Класс
Школьный раздел
Сервисы
|
Главная
(c)
m.sasisa.cc