Войти на сайт
(
)
Алгебра 8 класс. Алимов Ш.А. (8 класс)
Номер задания
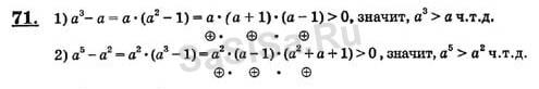
71
|
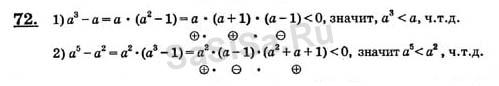
72
|
73
|
74
|
75
|
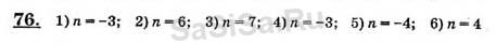
76
|
77
78
|
79
|
80
|
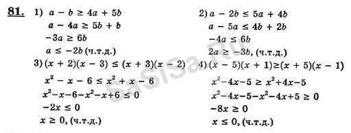
81
|
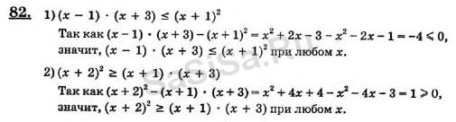
82
|
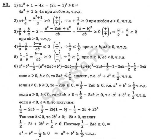
83
|
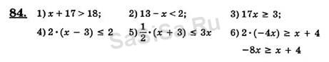
84
85
|
86
|
87
|
88
|
89
|
90
|
91
92
|
93
|
94
|
95
|
96
|
97
|
98
99
|
100
|
101
|
102
|
103
|
104
|
105
106
|
107
|
108
|
109
|
110
|
111
|
112
113
|
114
|
115
|
116
|
117
|
118
|
119
120
|
121
|
122
|
123
|
124
|
125
|
126
127
|
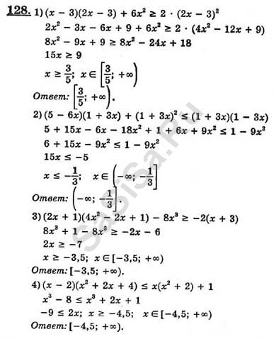
128
|
129
|
130
|
131
|
132
|
133
134
|
135
|
136
|
137
|
138
|
139
|
140
Далее »
« Назад
Страница:
1
,
2
,
3
,
4
,
5
,
6
,
7
,
8
,
9
,
10
Алгебра, 8 Класс
Школьный раздел
Сервисы
|
Главная
(c)
m.sasisa.cc