Войти на сайт
(
)
Алгебра 8 класс. Алимов Ш.А. (8 класс)
Номер задания
571
|
572
|
573
|
574
|
575
|
576
|
577
578
|
579
|
580
|
581
|
582
|
583
|
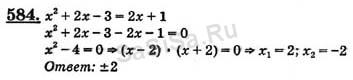
584
585
|
586
|
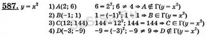
587
|
588
|
589
|
590
|
591
592
|
593
|
594
|
595
|
596
|
597
|
598
599
|
600
|
601
|
602
|
603
|
604
|
605
606
|
607
|
608
|
609
|
610
|
611
|
612
613
|
614
|
615
|
616
|
617
|
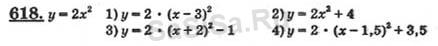
618
|
619
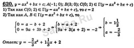
620
|
621
|
622
|
623
|
624
|
625
|
626
627
|
628
|
629
|
630
|
631
|
632
|
633
634
|
635
|
636
|
637
|
638
|
639
|
640
Далее »
« Назад
Страница:
1
,
2
,
3
,
4
,
5
,
6
,
7
,
8
,
9
,
10
Алгебра, 8 Класс
Школьный раздел
Сервисы
|
Главная
(c)
m.sasisa.cc