Войти на сайт
(
)
Алгебра 8 класс. Алимов Ш.А. (8 класс)
Номер задания
428
|
429
|
430
|
431
|
432
|
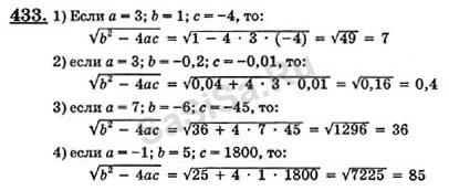
433
|
434
435
|
436
|
437
|
438
|
439
|
440
|
441
442
|
443
|
444
|
445
|
448
|
449
|
450
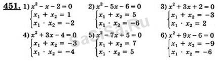
451
|
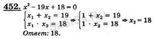
452
|
453
|
454
|
455
|
456
|
457
458
|
459
|
460
|
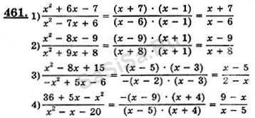
461
|
462
|
463
|
464
465
|
466
|
467
|
468
|
469
|
470
|
471
472
|
473
|
474
|
476
|
477
|
478
|
479
480
|
481
|
482
|
483
|
484
|
485
|
486
487
|
488
|
489
|
490
|
491
|
492
|
493
494
|
495
|
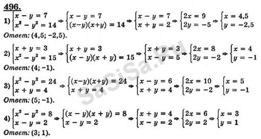
496
|
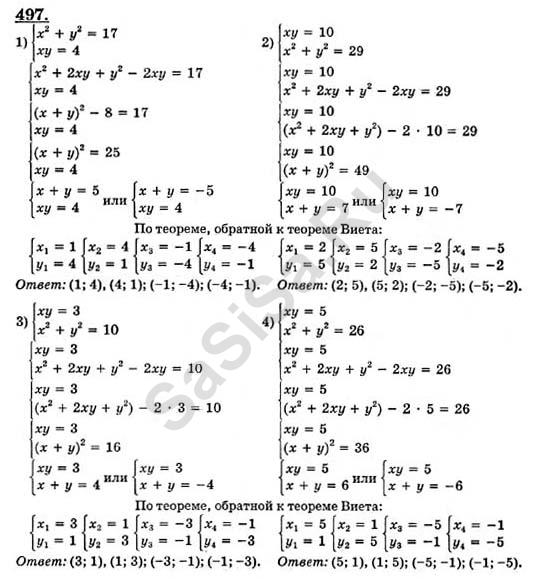
497
|
498
|
499
|
500
Далее »
« Назад
Страница:
1
,
2
,
3
,
4
,
5
,
6
,
7
,
8
,
9
,
10
Алгебра, 8 Класс
Школьный раздел
Сервисы
|
Главная
(c)
m.sasisa.cc