Войти на сайт
(
)
Алгебра 8 класс. Алимов Ш.А. (8 класс)
Номер задания
357
|
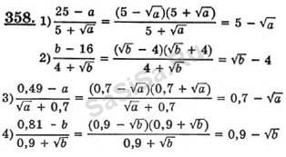
358
|
359
|
360
|
361
|
362
|
363
364
|
365
|
366
|
367
|
368
|
369
|
370
371
|
372
|
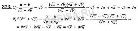
373
|
374
|
375
|
376
|
377
378
|
379
|
380
|
381
|
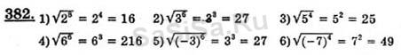
382
|
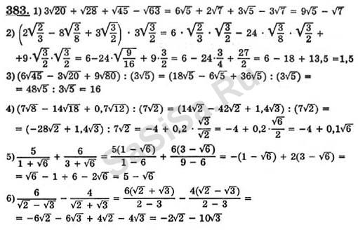
383
|
384
385
|
386
|
387
|
388
|
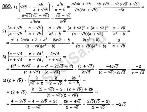
389
|
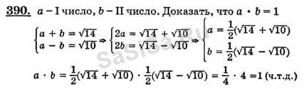
390
|
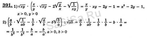
391
392
|
393
|
394
|
395
|
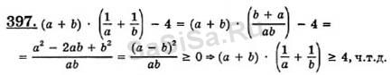
397
|
398
|
399
400
|
401
|
402
|
403
|
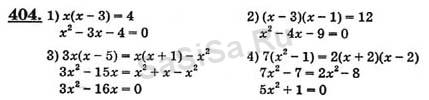
404
|
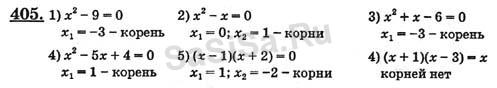
405
|
406
407
|
408
|
409
|
410
|
411
|
412
|
413
414
|
415
|
416
|
417
|
418
|
419
|
420
421
|
422
|
423
|
424
|
425
|
426
|
427
Далее »
« Назад
Страница:
1
,
2
,
3
,
4
,
5
,
6
,
7
,
8
,
9
,
10
Алгебра, 8 Класс
Школьный раздел
Сервисы
|
Главная
(c)
m.sasisa.cc