Войти на сайт
(
)
Алгебра 8 класс. Алимов Ш.А. (8 класс)
Номер задания
286
|
287
|
288
|
289
|
290
|
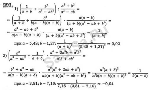
291
|
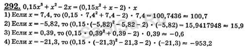
292
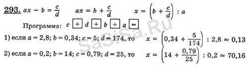
293
|
294
|
295
|
296
|
297
|
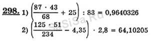
298
|
299
300
|
301
|
302
|
303
|
304
|
305
|
306
307
|
308
|
309
|
310
|
311
|
312
|
313
314
|
315
|
317
|
318
|
319
|
320
|
321
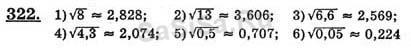
322
|
323
|
324
|
325
|
326
|
327
|
328
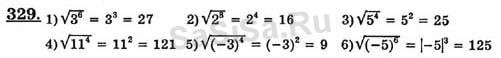
329
|
330
|
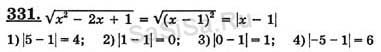
331
|
332
|
333
|
334
|
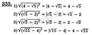
335
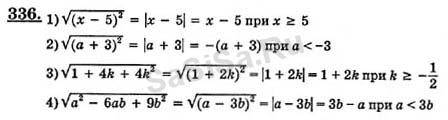
336
|
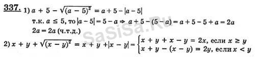
337
|
338
|
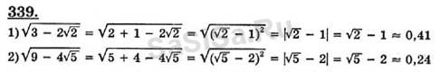
339
|
340
|
341
|
342
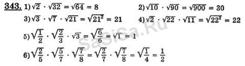
343
|
344
|
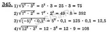
345
|
346
|
347
|
348
|
349
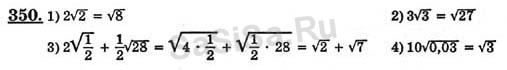
350
|
351
|
352
|
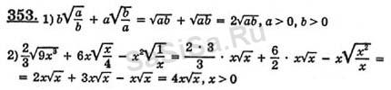
353
|
354
|
355
|
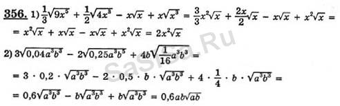
356
Далее »
« Назад
Страница:
1
,
2
,
3
,
4
,
5
,
6
,
7
,
8
,
9
,
10
Алгебра, 8 Класс
Школьный раздел
Сервисы
|
Главная
(c)
m.sasisa.cc