Войти на сайт
(
)
Алгебра 8 класс. Алимов Ш.А. (8 класс)
Номер задания
212
|
213
|
214
|
215
|
216
|
217
|
218
219
|
220
|
221
|
222
|
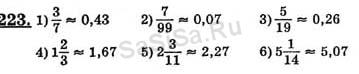
223
|
224
|
225
226
|
227
|
228
|
229
|
230
|
231
|
232
233
|
234
|
235
|
236
|
240
|
241
|
242
243
|
244
|
245
|
246
|
247
|
248
|
249
250
|
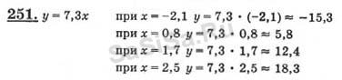
251
|
252
|
253
|
254
|
256
|
257
258
|
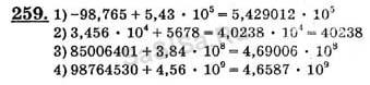
259
|
260
|
261
|
262
|
263
|
264
265
|
266
|
267
|
268
|
269
|
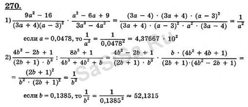
270
|
271
272
|
273
|
274
|
275
|
276
|
277
|
278
279
|
280
|
281
|
282
|
283
|
284
|
285
Далее »
« Назад
Страница:
1
,
2
,
3
,
4
,
5
,
6
,
7
,
8
,
9
,
10
Алгебра, 8 Класс
Школьный раздел
Сервисы
|
Главная
(c)
m.sasisa.cc