Войти на сайт
(
)
Алгебра 8 класс. Макарычев (8 класс)
Номер задания
905
|
906
|
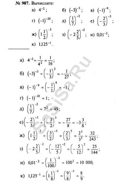
907
|
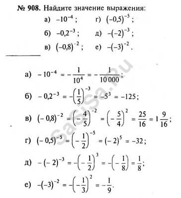
908
|
909
|
910
|
911
912
|
913
|
914
|
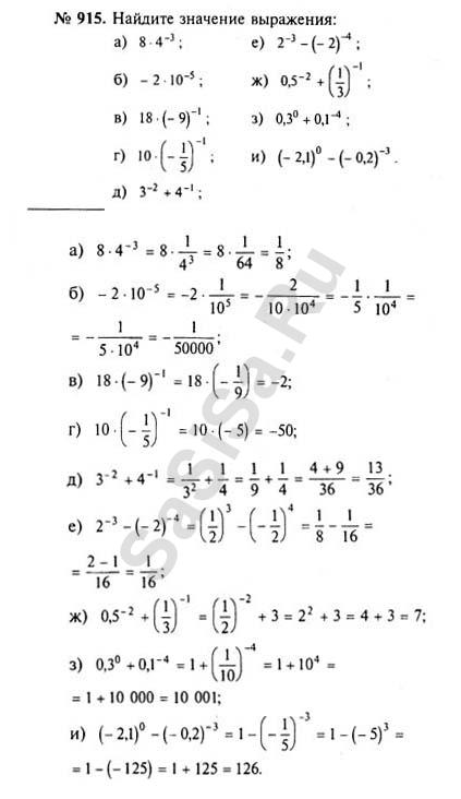
915
|
916
|
917
|
918
919
|
920
|
921
|
922
|
923
|
924
|
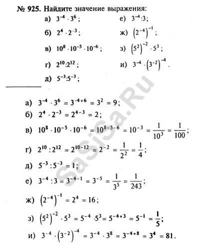
925
926
|
927
|
928
|
929
|
930
|
931
|
932
933
|
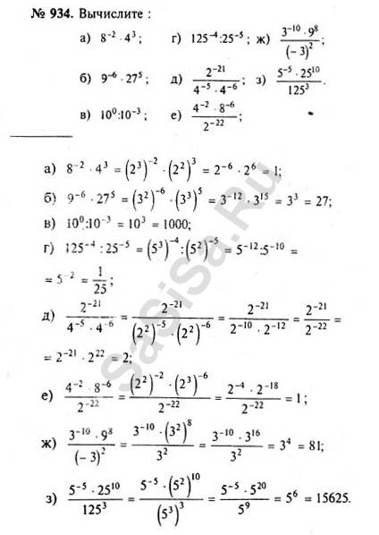
934
|
935
|
936
|
937
|
938
|
939
940
|
941
|
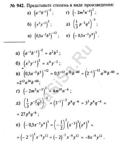
942
|
943
|
944
|
945
|
946
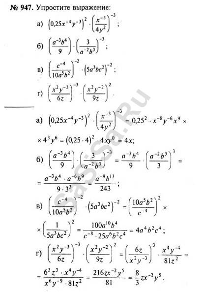
947
|
948
|
950
|
951
|
952
|
953
|
968
969
|
970
|
971
|
984
|
985
|
986
|
987
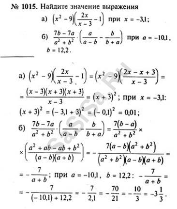
1015
|
1016
|
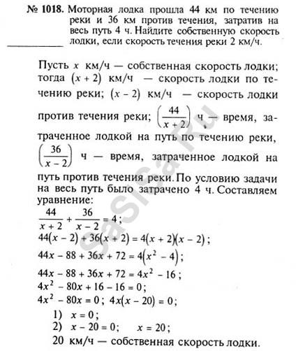
1018
|
1033
|
1034
|
1035
|
1036
1037
|
1038
|
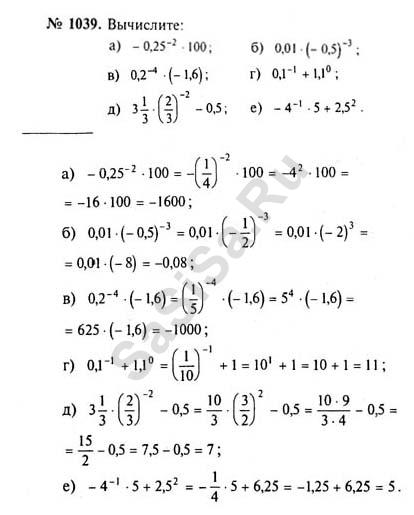
1039
|
1040
|
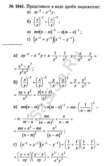
1041
|
1042
|
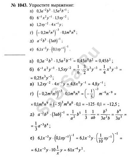
1043
Далее »
« Назад
Страница:
1
,
2
,
3
... ,
12
,
13
,
14
Алгебра, 8 Класс
Школьный раздел
Сервисы
|
Главная
(c)
m.sasisa.cc