Войти на сайт
(
)
Алгебра 8 класс. Макарычев (8 класс)
Номер задания
71
|
72
|
73
|
74
|
75
|
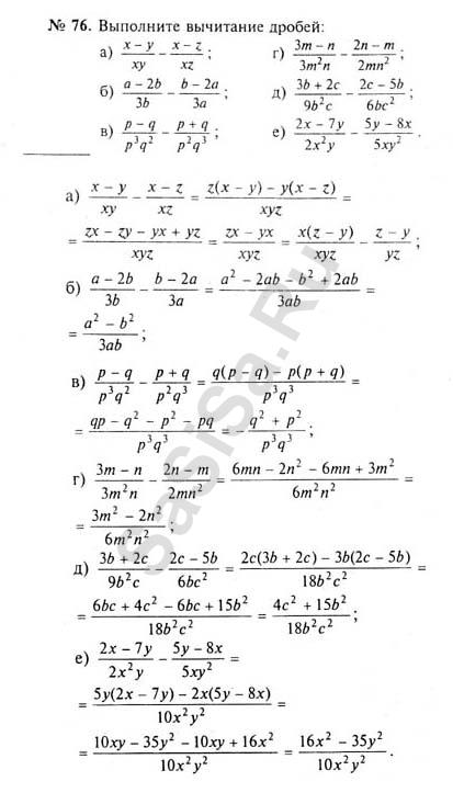
76
|
77
78
|
79
|
80
|
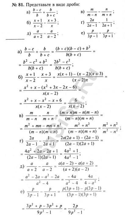
81
|
82
|
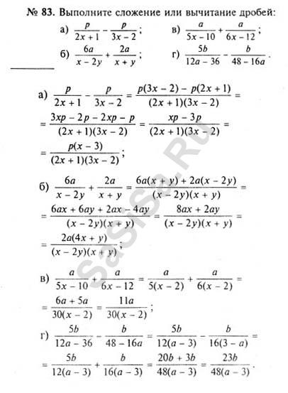
83
|
84
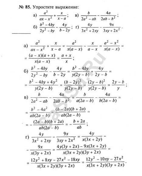
85
|
86
|
87
|
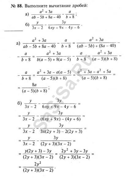
88
|
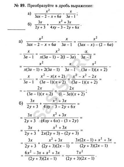
89
|
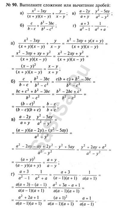
90
|
91
92
|
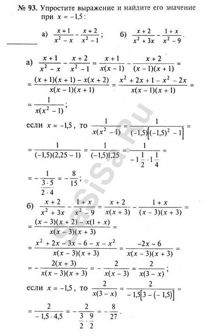
93
|
94
|
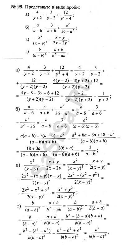
95
|
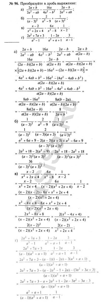
96
|
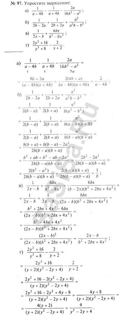
97
|
98
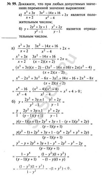
99
|
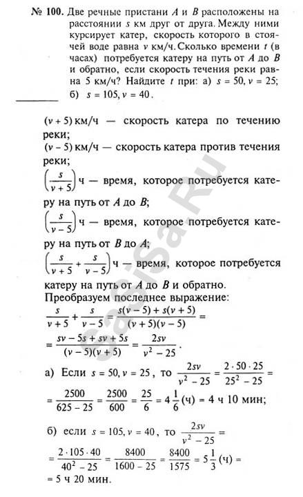
100
|
101
|
102
|
103
|
104
|
105
106
|
107
|
108
|
109
|
110
|
111
|
112
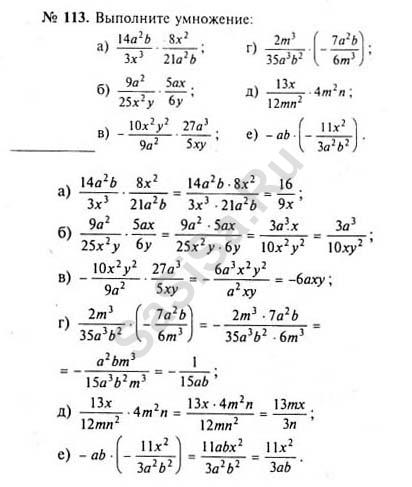
113
|
114
|
115
|
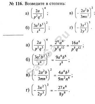
116
|
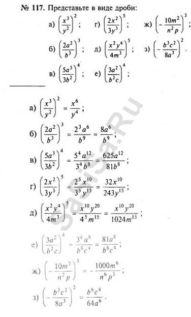
117
|
118
|
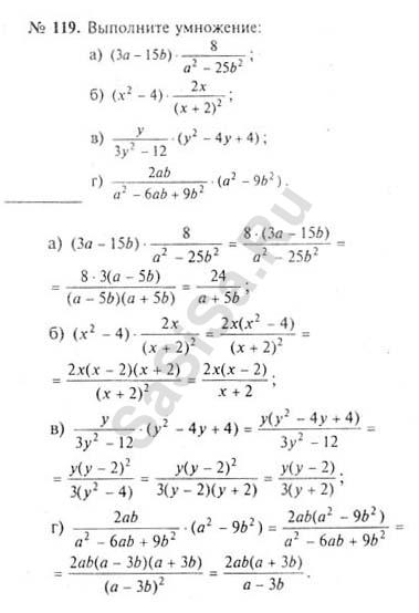
119
120
|
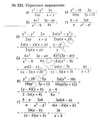
121
|
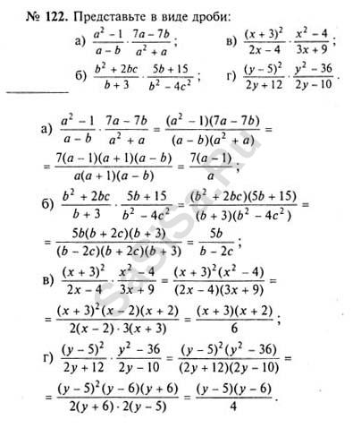
122
|
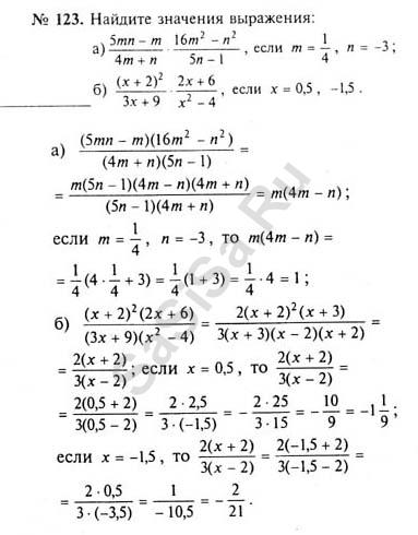
123
|
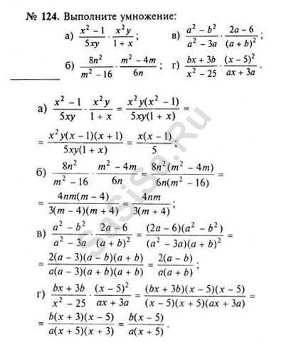
124
|
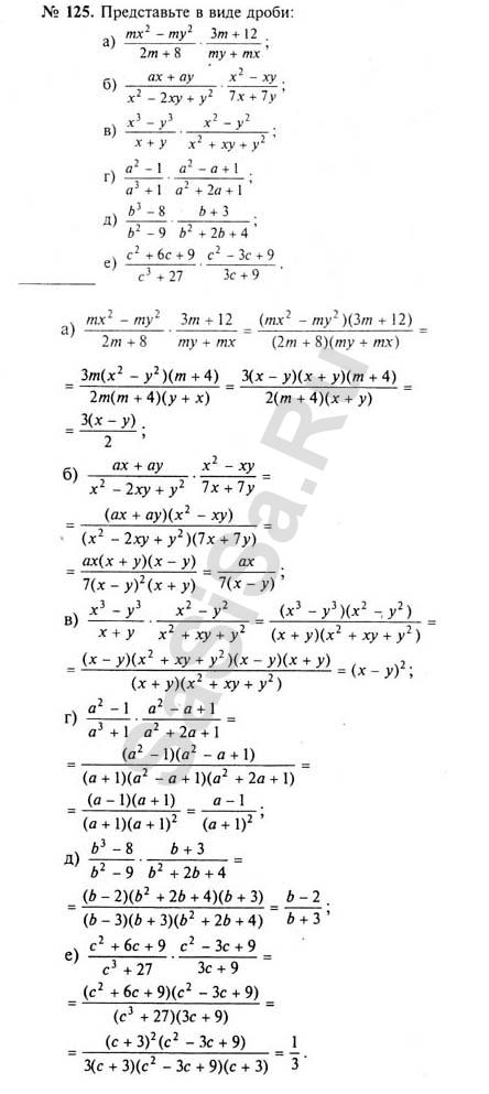
125
|
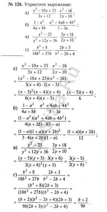
126
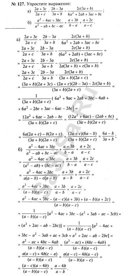
127
|
128
|
129
|
130
|
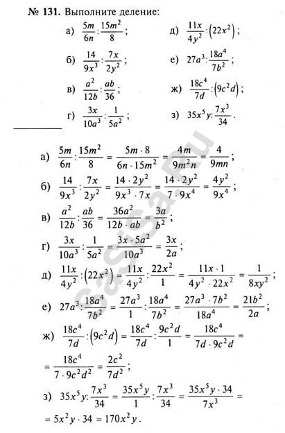
131
|
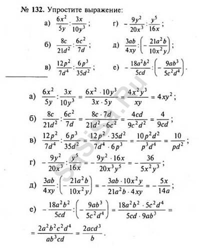
132
|
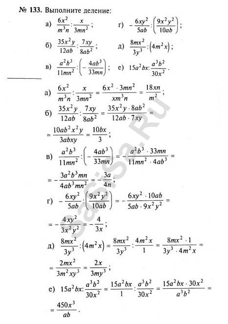
133
134
|
135
|
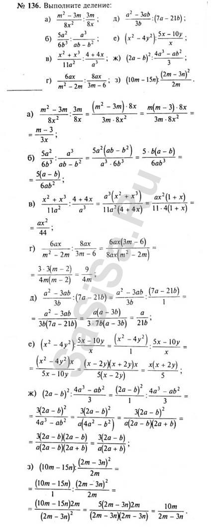
136
|
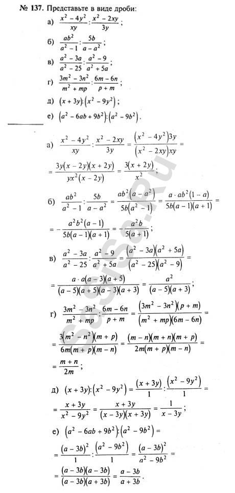
137
|
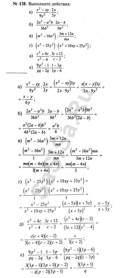
138
|
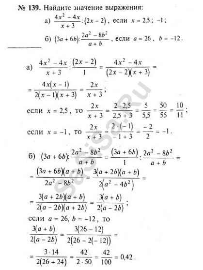
139
|
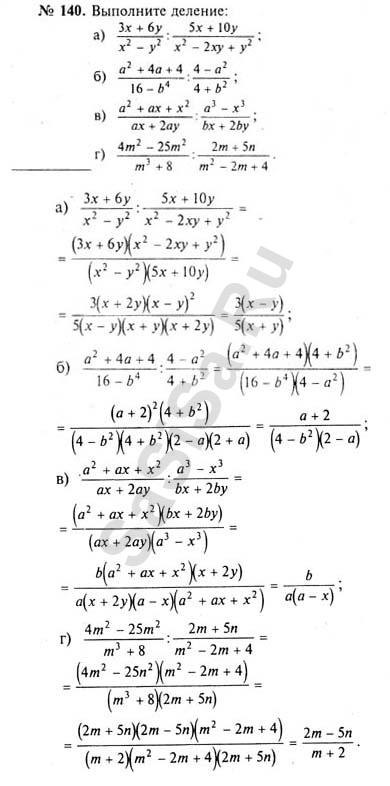
140
Далее »
« Назад
Страница:
1
,
2
,
3
, ...
12
,
13
,
14
Алгебра, 8 Класс
Школьный раздел
Сервисы
|
Главная
(c)
m.sasisa.cc