Войти на сайт
(
)
Алгебра 8 класс. Макарычев (8 класс)
Номер задания
565
|
566
|
567
|
568
|
569
|
570
|
571
572
|
573
|
574
|
575
|
576
|
577
|
578
579
|
580
|
581
|
582
|
583
|
584
|
585
586
|
587
|
588
|
589
|
590
|
591
|
592
593
|
594
|
595
|
596
|
597
|
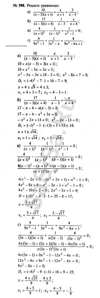
598
|
599
600
|
601
|
602
|
603
|
604
|
605
|
606
607
|
608
|
609
|
610
|
611
|
612
|
613
614
|
615
|
616
|
617
|
618
|
619
|
620
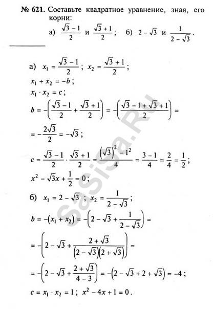
621
|
622
|
623
|
624
|
625
|
626
|
627
628
|
629
|
630
|
631
|
632
|
633
|
634
Далее »
« Назад
Страница:
1
,
2
,
3
...
8
,
9
,
10
...
12
,
13
,
14
Алгебра, 8 Класс
Школьный раздел
Сервисы
|
Главная
(c)
m.sasisa.cc