Войти на сайт
(
)
Алгебра 8 класс. Макарычев (8 класс)
Номер задания
495
|
496
|
497
|
498
|
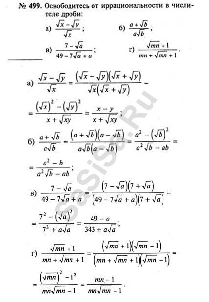
499
|
500
|
501
502
|
503
|
504
|
505
|
506
|
507
|
508
509
|
510
|
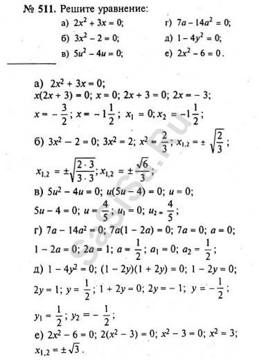
511
|
512
|
513
|
514
|
515
516
|
517
|
518
|
519
|
520
|
521
|
522
523
|
524
|
525
|
526
|
527
|
528
|
529
530
|
531
|
532
|
533
|
534
|
535
|
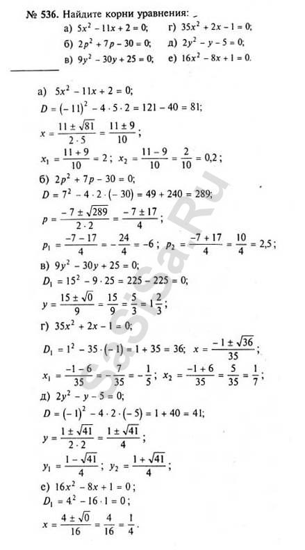
536
537
|
538
|
539
|
540
|
541
|
542
|
543
544
|
545
|
546
|
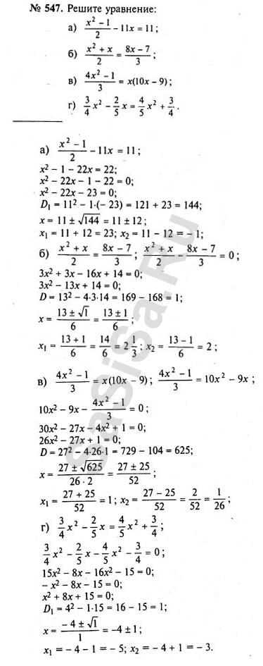
547
|
548
|
549
|
550
551
|
552
|
553
|
554
|
555
|
556
|
557
558
|
559
|
560
|
561
|
562
|
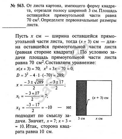
563
|
564
Далее »
« Назад
Страница:
1
,
2
,
3
...
7
,
8
,
9
...
12
,
13
,
14
Алгебра, 8 Класс
Школьный раздел
Сервисы
|
Главная
(c)
m.sasisa.cc