Войти на сайт
(
)
Алгебра 8 класс. Макарычев (8 класс)
Номер задания
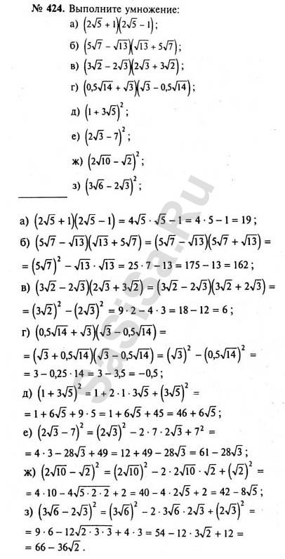
424
|
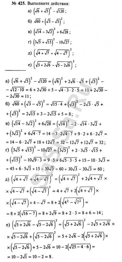
425
|
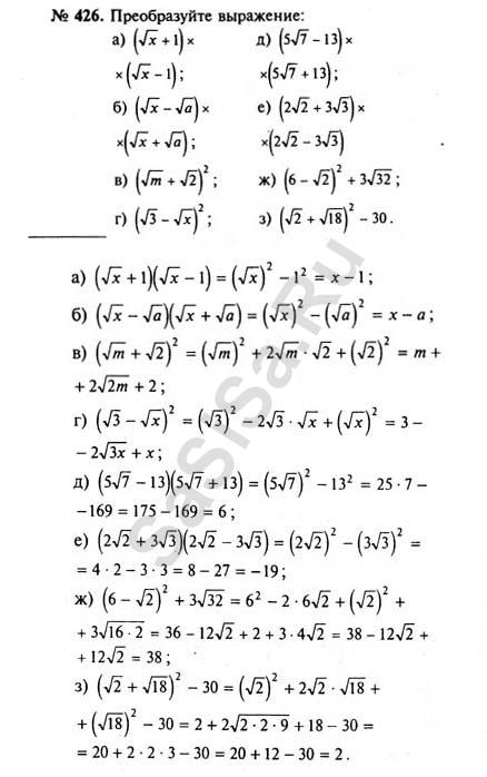
426
|
427
|
428
|
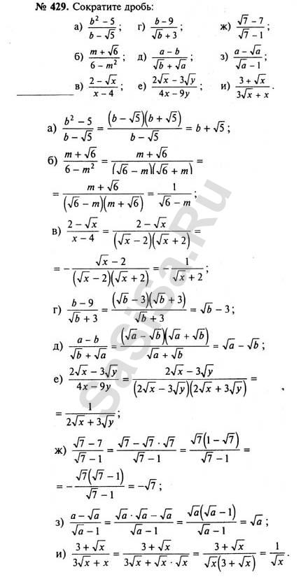
429
|
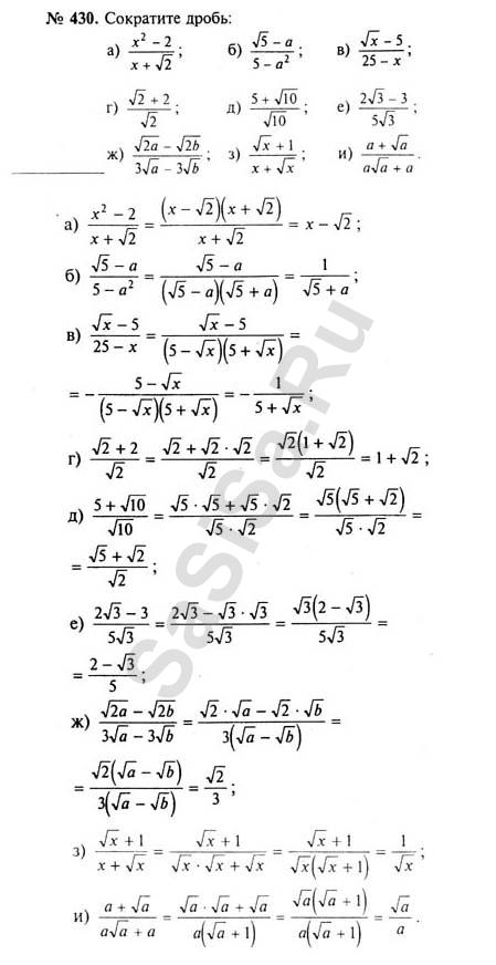
430
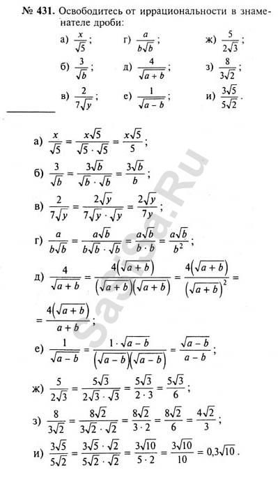
431
|
432
|
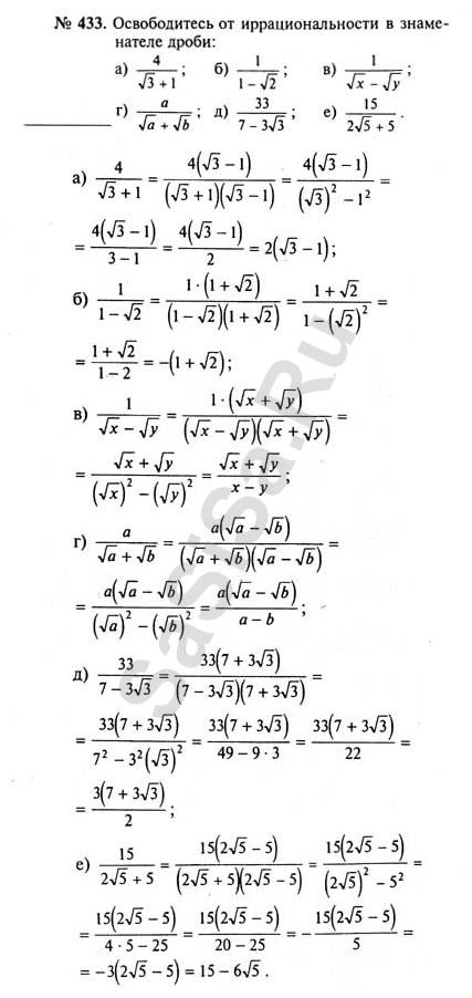
433
|
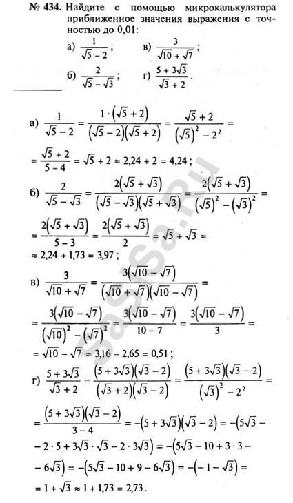
434
|
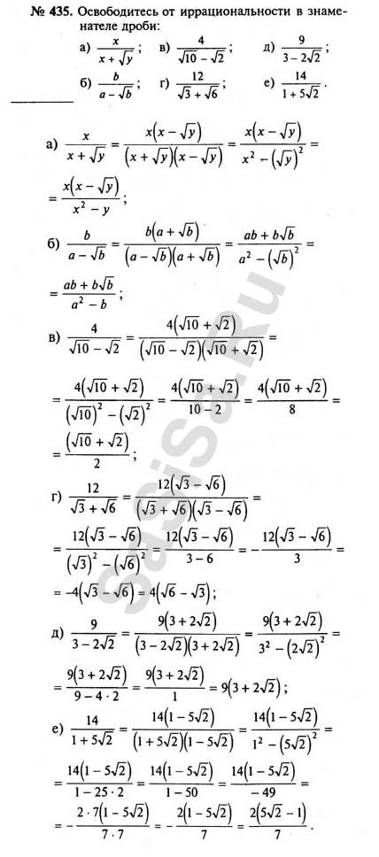
435
|
436
|
437
438
|
439
|
440
|
441
|
442
|
443
|
444
445
|
446
|
447
|
448
|
449
|
450
|
451
452
|
453
|
454
|
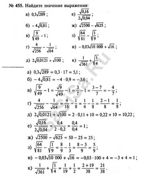
455
|
456
|
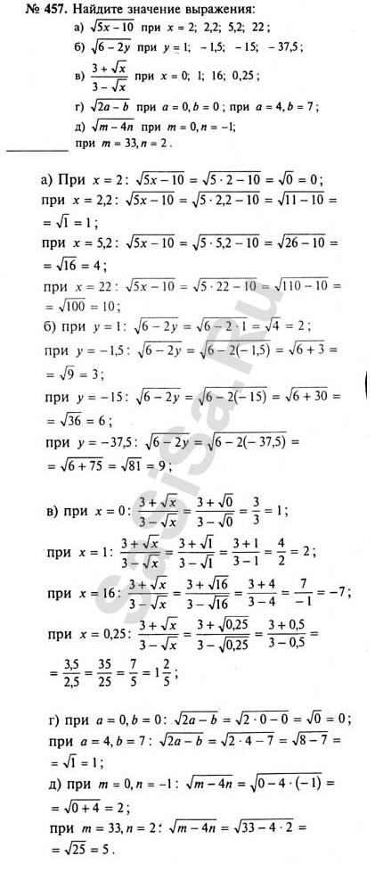
457
|
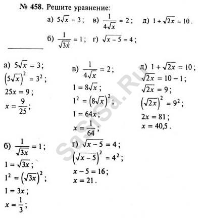
458
459
|
460
|
461
|
462
|
463
|
464
|
465
467
|
468
|
469
|
470
|
471
|
472
|
473
474
|
475
|
476
|
477
|
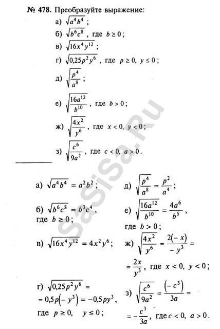
478
|
479
|
480
481
|
482
|
483
|
484
|
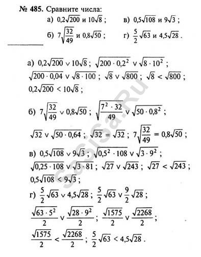
485
|
486
|
487
488
|
489
|
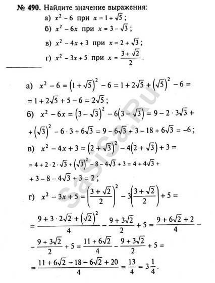
490
|
491
|
492
|
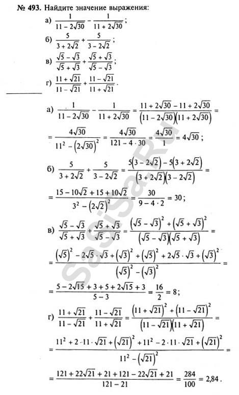
493
|
494
Далее »
« Назад
Страница:
1
,
2
,
3
...
6
,
7
,
8
...
12
,
13
,
14
Алгебра, 8 Класс
Школьный раздел
Сервисы
|
Главная
(c)
m.sasisa.cc